Configurational diffusion down a folding funnel describes the dynamics of DNA hairpins
- PMID: 11438730
- PMCID: PMC35417
- DOI: 10.1073/pnas.131477798
Configurational diffusion down a folding funnel describes the dynamics of DNA hairpins
Abstract
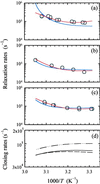
Elucidating the mechanism of folding of polynucleotides depends on accurate estimates of free energy surfaces and a quantitative description of the kinetics of structure formation. Here, the kinetics of hairpin formation in single-stranded DNA are measured after a laser temperature jump. The kinetics are modeled as configurational diffusion on a free energy surface obtained from a statistical mechanical description of equilibrium melting profiles. The effective diffusion coefficient is found to be strongly temperature-dependent in the nucleation step as a result of formation of misfolded loops that do not lead to subsequent zipping. This simple system exhibits many of the features predicted from theoretical studies of protein folding, including a funnel-like energy surface with many folding pathways, trapping in misfolded conformations, and non-Arrhenius folding rates.
Figures
 
              
              
              
              
                
                
                 
              
              
              
              
                
                
                 
              
              
              
              
                
                
                 
              
              
              
              
                
                
                 
              
              
              
              
                
                
                References
- 
    - Scheffler I E, Elson E L, Baldwin R L. J Mol Biol. 1968;36:291–304. - PubMed
 
- 
    - Gralla J, Crothers D M. J Mol Biol. 1973;73:497–511. - PubMed
 
- 
    - Uhlenbeck O C, Borer P N, Dengler B, Tinoco I., Jr J Mol Biol. 1973;73:483–496. - PubMed
 
- 
    - Paner T M, Amaratunga M, Doktycz M J, Benight A S. Biopolymers. 1990;29:1715–1734. - PubMed
 
Publication types
MeSH terms
Substances
LinkOut - more resources
- Full Text Sources
 
        