Skip to main page content
U.S. flag

An official website of the United States government

Dot gov

The .gov means it’s official.
Federal government websites often end in .gov or .mil. Before sharing sensitive information, make sure you’re on a federal government site.

Https

The site is secure.
The https:// ensures that you are connecting to the official website and that any information you provide is encrypted and transmitted securely.

Access keys NCBI Homepage MyNCBI Homepage Main Content Main Navigation
Case Reports
. 2004 Mar;25(3):494-7.

Charcot-Marie-Tooth disease: extensive cranial nerve involvement on CT and MR imaging

Affiliations
Case Reports

Charcot-Marie-Tooth disease: extensive cranial nerve involvement on CT and MR imaging

Todd R Aho et al. AJNR Am J Neuroradiol. 2004 Mar.

Abstract

We report a case of genetically verified Charcot-Marie-Tooth disease in which the patient had cranial nerve symptoms. CT and MR imaging demonstrated enlargement of several cranial nerves, as well as their skull-base foramina, with faint contrast material enhancement identified.

PubMed Disclaimer

Figures

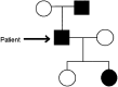
F<sc>ig</sc> 1.
Fig 1.
Limited family tree demonstrates the affected members of the patient’s family, with current patient marked with arrow. (Modified from reference 6).
F<sc>ig</sc> 2.
Fig 2.
A–C, Thin-section (1-mm) coronal and axial CT images of the skull base obtained with an edge-enhancing bone algorithm show enlargement (arrows) of the mastoid canals of cranial nerve VII (A), the foramina of ovale (B), and rotundum (C) bilaterally.
F<sc>ig</sc> 3.
Fig 3.
Thin-section (2.5-mm) axial T1-weighted spoiled gradient-echo gadolinium-enhanced images of the brain obtained at 1.5 T for Gamma knife localization (trigeminal neuralgia). Cranial nerve enlargement (arrows) is most pronounced involving the mastoid or descending segments of cranial nerve VII (A), cisternal segments of cranial nerve III (B), V3 (C), and V2 (D) segments. Faint enhancement is identified.

References

    1. Bird TD. Hereditary motor-sensory neuropathies: Charcot-Marie-Tooth syndrome. Neurol Clin 1989;7:9–23 - PubMed
    1. Kremenitzer M, Ager PJ, Zingesser LH. Myelographic evidence for nerve enlargement in a case of Charcot-Marie-Tooth disease. Neuroradiology 1976;11:165–167 - PubMed
    1. Morano JU, Russell WF. Nerve root enlargement in Charcot-Marie-Tooth disease: CT appearance. Radiology 1986;161:784. - PubMed
    1. Rosen SA, Wang H, Cornblath DR, et al. Compression syndromes due to hypertrophic nerve roots in hereditary motor sensory neuropathy I. Neurology 1989;39:1173–1177 - PubMed
    1. Choi SK, Bowers RP, Buckthal PE. MR imaging in hypertrophic neuropathy: a case of hereditary motor and sensory neuropathy, type I (Charcot-Marie-Tooth). Clin Imag 1990;14:204–207 - PubMed

Publication types

MeSH terms