anti-1,2-Diols via Ni-catalyzed reductive coupling of alkynes and alpha-oxyaldehydes
- PMID: 15987174
- PMCID: PMC2522310
- DOI: 10.1021/ol050881k
anti-1,2-Diols via Ni-catalyzed reductive coupling of alkynes and alpha-oxyaldehydes
Abstract
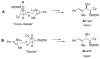
[reaction: see text] Ni-catalyzed reductive coupling of aryl alkynes (1) and enantiomerically enriched alpha-oxyaldehydes (2) afford differentiated anti-1,2-diols (3) with high diastereoselectivity and regioselectivity, despite the fact that the methoxymethyl (MOM) and para-methoxybenzyl (PMB) protective groups typically favor syn-1,2-diol formation in carbonyl addition reactions of this family of aldehydes.
Figures




References
-
- Jacobsen EN, Marko I, Mungall WS, Schröder G, Sharpless KB. J. Am. Chem. Soc. 1988;110:1968–1970.
- Kolb HC, VanNieuwenhze MS, Sharpless KB. Chem. Rev. 1994;94:2483–2547.
- Johnson RA, Sharpless KB. In: Catalytic Asymmetric Synthesis. 2nd Ojima I, editor. VCH; New York: 2000. pp. 357–398.
-
- Mukaiyama T, Iwasawa N. Chem. Lett. 1984:753–756.
- Evans DA, Gage JR, Leighton JL, Kim AS. J. Org. Chem. 1992;57:1961–1963.
- Crimmins MT, McDougall PJ. Org. Lett. 2003;5:591–594. - PubMed
-
- Bednarski MD, Simon ES, Bishofberger N, Fessner W-D, Kim M-J, Lees W, Saito T, Waldmann H, Whitesides GM. J. Am. Chem. Soc. 1989;111:627–635.
- Fessner W-D, Sinerius G, Schneider A, Dreyer M, Schulz GE, Badia J, Aguilar J. Angew. Chem., Int. Ed. 1991;30:555–558.
-
- List B, Shabat D, Barbas CF, III, Lerner RA. Chem. Eur. J. 1998;4:881–885.
- Hoffmann T, Zhong G, List B, Shabat D, Anderson J, Gramatikova S, Lerner RA, Barbas CF., III J. Am. Chem. Soc. 1998;120:2768–2779.
Publication types
MeSH terms
Substances
Grants and funding
LinkOut - more resources
Full Text Sources
Miscellaneous