Persistence of tumor infiltrating lymphocytes in adoptive immunotherapy correlates with telomere length
- PMID: 17198091
- PMCID: PMC2151201
- DOI: 10.1097/01.cji.0000211321.07654.b8
Persistence of tumor infiltrating lymphocytes in adoptive immunotherapy correlates with telomere length
Abstract
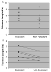
Transfer of autologous tumor-specific tumor infiltrating lymphocytes (TILs) in adoptive immunotherapy can mediate the regression of tumor in patients with metastatic melanoma. In this procedure, TILs from resected tumors are expanded in vitro, then administered to patients and further stimulated to proliferate in vivo by the administration of high dose IL-2. After in vitro expansion, TILs are often dominated by a few specific clonotypes, and recently it was reported that the persistence in vivo of one or more of these clonotypes correlated with positive therapeutic response. We and others have previously shown that repeated in vitro stimulation and clonal expansion of normal human T lymphocytes results in progressive decrease in telomerase activity and shortening of telomeres, ultimately resulting in replicative senescence. In the studies reported here, we therefore compared telomerase activity and telomere length in persistent and nonpersistent TIL clonotypes before transfer in vivo, and found a correlation between telomere length and clonal persistence. We also observed that TILs proliferate extensively in vivo in the days after transfer, but fail to induce substantial telomerase activity, and undergo rapid decreases in telomere length within days after transfer. Thus, in vivo loss of telomeres by clonotypes that have the shortest telomeres at the time of administration may drive these clones to replicative senescence, whereas cells with longer telomeres are able to persist and mediate antitumor effects. These findings are relevant both to predicting effectiveness of adoptive immunotherapy and in deriving strategies for improving effectiveness by sustaining telomere length.
Figures
References
-
- Weng NP, Palmer LD, Levine BL, et al. Tales of tails: regulation of telomere length and telomerase activity during lymphocyte development, differentiation, activation, and aging. Immunol Rev. 1997;160:43. - PubMed
MeSH terms
Substances
Grants and funding
LinkOut - more resources
Full Text Sources
Other Literature Sources
