Diacerein inhibits the synthesis of resorptive enzymes and reduces osteoclastic differentiation/survival in osteoarthritic subchondral bone: a possible mechanism for a protective effect against subchondral bone remodelling
- PMID: 18578867
- PMCID: PMC2483463
- DOI: 10.1186/ar2444
Diacerein inhibits the synthesis of resorptive enzymes and reduces osteoclastic differentiation/survival in osteoarthritic subchondral bone: a possible mechanism for a protective effect against subchondral bone remodelling
Abstract
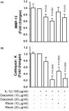
Introduction: Subchondral bone alterations represent an essential component of osteoarthritis (OA). Modifying the abnormal subchondral bone metabolism may be indicated to treat OA. We investigated the effect of diacerein and rhein on the changes occurring in subchondral bone during OA. To this end, we determined the drugs' effects on metalloprotease-13 (MMP-13) synthesis on subchondral bone and on the osteoblast signalling pathways. In osteoclasts, we studied MMP-13 and cathepsin K production as well as cell differentiation, proliferation, and survival.
Methods: The effect of diacerein/rhein on the production of subchondral bone MMP-13 was determined by enzyme-linked immunosorbent assay. Signalling pathways were evaluated on osteoblasts by Western blot. Osteoclast experiments were performed using cells from the pre-osteoclastic murine cell line Raw 264.7. Osteoclast MMP-13 and cathepsin K activities were determined by specific bioassays and differentiation of these cells quantified by tartrate-resistant acid phosphatase staining.
Results: Diacerein and rhein reduced, in a dose-dependent manner, the interleukin-1-beta (IL-1beta)-induced MMP-13 production in OA subchondral bone. This effect occurred through the inhibition of ERK1/2 (extracellular signal-regulated kinase-1/2) and p38. In osteoclasts, they significantly reduced the activity of MMP-13 and cathepsin K. Moreover, these drugs effectively blocked the IL-1beta effect on the osteoclast differentiation process and the survival of mature osteoclasts.
Conclusion: Altogether, these data suggest that diacerein/rhein could impact the abnormal subchondral bone metabolism in OA by reducing the synthesis of resorptive factors and osteoclast formation.
Figures
 
              
              
              
              
                
                
                 
              
              
              
              
                
                
                 
              
              
              
              
                
                
                 
              
              
              
              
                
                
                 
              
              
              
              
                
                
                 
              
              
              
              
                
                
                References
- 
    - Carlson CS, Loeser RF, Purser CB, Gardin JF, Jerome CP. Osteoarthritis in cynomolgus macaques. III: Effects of age, gender, and subchondral bone thickness on the severity of disease. J Bone Miner Res. 1996;11:1209–1217. - PubMed
 
Publication types
MeSH terms
Substances
LinkOut - more resources
- Full Text Sources
- Medical
- Miscellaneous
 
        