Increased amoxicillin-clavulanic acid resistance in Escherichia coli blood isolates, Spain
- PMID: 18680650
- PMCID: PMC2600377
- DOI: 10.3201/eid1408.071059
Increased amoxicillin-clavulanic acid resistance in Escherichia coli blood isolates, Spain
Abstract
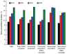
To determine the evolution and trends of amoxicillin-clavulanic acid resistance among Escherichia coli isolates in Spain, we tested 9,090 blood isolates from 42 Spanish hospitals and compared resistance with trends in outpatient consumption. These isolates were collected by Spanish hospitals that participated in the European Antimicrobial Resistance Surveillance System network from April 2003 through December 2006.
Figures


References
-
- Goossens H, Ferech M, Vander Stichele R, Elseviers M; ESAC Project Group. Outpatient antibiotic use in Europe and association with resistance: a cross-national database study. Lancet. 2005;365:579–87. - PubMed
-
- Lázaro BE, Madurga SM, de Abajo FJ. Evolución del consumo de antibióticos en España, 1985–2000. Med Clin (Barc). 2002;118:561–8. - PubMed
Publication types
MeSH terms
Substances
LinkOut - more resources
Full Text Sources
Medical
Miscellaneous