Impact of cancer on health-related quality of life of older Americans
- PMID: 19509357
- PMCID: PMC2720781
- DOI: 10.1093/jnci/djp123
Impact of cancer on health-related quality of life of older Americans
Abstract
Background: The impact of cancer on health-related quality of life (HRQOL) is poorly understood because of the lack of baseline HRQOL status before cancer diagnosis. To our knowledge, this is the first population-based study to quantify the nature and extent of HRQOL changes from before to after cancer diagnosis for nine types of cancer patients and to compare their health with individuals without cancer.
Methods: The Surveillance, Epidemiology, and End Results cancer registry data were linked with the Medicare Health Outcomes Survey (MHOS) data; data were collected from Medicare beneficiaries who were aged 65 years and older from 1998 through 2003. Cancer patients (n = 1432; with prostate, breast, colorectal, lung, bladder, endometrial, or kidney cancers; melanoma; or non-Hodgkin lymphoma [NHL]) were selected whose first cancer diagnosis occurred between their baseline and follow-up MHOS assessments. Control subjects without cancer (n = 7160) were matched to cancer patients by use of propensity scores that were estimated from demographics and comorbid medical conditions. Analysis of covariance models were used to estimate changes in HRQOL as assessed with the Medical Outcomes Study Short Form-36 survey (mean score = 50, SD = 10). All statistical tests were two-sided.
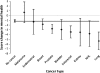
Results: Patients with all cancer types (except melanoma and endometrial cancer) reported statistically significant declines in physical health (mean scores: prostate cancer = -3.4, 95% confidence interval [CI] = -2.5 to -4.2; breast cancer = -3.5, 95% CI = -2.5 to -4.5; bladder cancer = -4.3, 95% CI = -2.5 to -6.1; colorectal cancer = -4.4, 95% CI = -3.3 to -5.5; kidney cancer = -5.7, 95% CI = -3.2 to -8.2; NHL = -6.7, 95% CI = -4.4 to -9.1; and lung cancer = -7.5, 95% CI = -5.9 to -9.2) compared with the control subjects (mean score = -1.8, 95% CI = -1.6 to -2.0) (all P < .05). However, only lung (mean score = -5.4, 95% CI = -3.5 to -7.2), colorectal (mean score = -3.5, 95% CI = -2.2 to -4.7), and prostate (mean score = -2.8, 95% CI = -1.8 to -3.7) cancer patients showed statistically significant decreases in mental health relative to the mean change of the control subjects (mean score = -1.2, 95% CI = -0.9 to -1.4) (all P < .05).
Conclusion: These findings provide validation of the specific deleterious effects of cancer on HRQOL and an evidence base for future research and clinical interventions aimed at understanding and remediating these effects.
Figures


Comment in
-
Health-related quality of life in cancer patients--more answers but many questions remain.J Natl Cancer Inst. 2009 Jun 16;101(12):838-9. doi: 10.1093/jnci/djp140. Epub 2009 Jun 9. J Natl Cancer Inst. 2009. PMID: 19509358 No abstract available.
References
-
- Lipscomb J, Donaldson MS, Hiatt RA. Cancer outcomes research and the arenas of application. J Natl Cancer Inst Monogr. 2004;33:1–7. - PubMed
-
- Baker F, Haffer SC, Denniston M. Health-related quality of life of cancer and noncancer patients in Medicare managed care. Cancer. 2003;97(3):674–681. - PubMed
-
- Hewitt M, Rowland JH, Yancik R. Cancer survivors in the United States: age, health, and disability. J Gerontol. 2003;58(1):82–91. - PubMed
-
- Keating NL, Norredam M, Landrum MB, Huskamp HA, Meara E. Physical and mental health status of older long-term cancer survivors. J Am Geriatr Soc. 2005;53(12):2145–2152. - PubMed