Skip to main page content
U.S. flag

An official website of the United States government

Dot gov

The .gov means it’s official.
Federal government websites often end in .gov or .mil. Before sharing sensitive information, make sure you’re on a federal government site.

Https

The site is secure.
The https:// ensures that you are connecting to the official website and that any information you provide is encrypted and transmitted securely.

Access keys NCBI Homepage MyNCBI Homepage Main Content Main Navigation
Review
. 2009 Nov;102(11):1150-7.
doi: 10.1097/SMJ.0b013e3181b6a592.

Acute respiratory distress syndrome, sepsis, and cognitive decline: a review and case study

Affiliations
Review

Acute respiratory distress syndrome, sepsis, and cognitive decline: a review and case study

James C Jackson et al. South Med J. 2009 Nov.

Abstract

The objective of this investigation is to review existing research pertaining to cognitive impairment and decline following critical illness and describe a case involving a 49-year-old female with sepsis and acute respiratory distress syndrome (ARDS) with no prior neurologic history who, compared to baseline neuropsychological test data, experienced dramatic cognitive decline and brain atrophy following treatment in the medical intensive care unit (ICU) at Vanderbilt University Medical Center. The patient participated in detailed clinical interviews and underwent comprehensive neuropsychological testing and neurological magnetic resonance imaging (MRI) at approximately 8 months and 3.5 years after ICU discharge. Compared to pre-ICU baseline test data, her intellectual function declined approximately 2 standard deviations from 139 to 106 (from the 99 to the 61 percentile) on a standardized intelligence test 8 months post-discharge, with little subsequent improvement. Initial diffusion tensor brain magnetic resonance imaging (DT-MRI) at the end of ICU hospitalization showed diffuse abnormal hyperintense areas involving predominately white matter in both hemispheres and the left cerebellum. A brain MRI nearly 4 years after ICU discharge demonstrated interval development of profound and generalized atrophy with sulcal widening and ventricular enlargement. The magnitude of cognitive decline experienced by ICU survivors is difficult to quantify due to the unavailability of pre-morbid neuropsychological data. The current case, conducted on a patient with baseline neuropsychological data, illustrates the trajectory of decline occurring after critical illness and ICU-associated brain injury with marked atrophy and concomitant cognitive impairments.

PubMed Disclaimer

Figures

Fig. 1
Fig. 1
Coronal diffusion weighted brain imaging in a patient with acute respiratory distress syndrome during intensive care unit hospitalization. The scan on the left shows a hyperintense area in the right frontal lobe white matter. The middle scan shows hyperintense areas in bilateral posterior frontal lobes, temporal lobes, and deep white matter tracts. The right scan shows hyperintense areas in the bilateral posterior temporal and parietal lobes and in the left cerebellum.
Fig. 2
Fig. 2
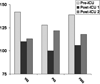
Comparison of IQ scores. A comparison of scores on verbal, performance, and full-scale intelligence quotients before ICU hospitalization, at post-ICU time 1 (8 months), and at post-ICU time 2 (3.5 years) in a 52-year-old survivor of ARDS. VIQ, PIQ, and FSIQ scores have a mean of 100 and a SD of 15.
Fig. 3
Fig. 3
Coronal T2 weighted brain imaging (radiologic view: right is left and left is right) at 3.5-year follow-up. The scan on the left shows a view through the frontal lobes showing marked brain atrophy with sulcal widening. The middle scan shows a view through the hippocampus, showing enlargement of the temporal horns of the lateral ventricles, mild hippocampal atrophy, and sulcal widening. The right scan shows a view through the posterior temporal and parietal lobes and cerebellum with marked brain atrophy with sulcal widening and ventricular enlargement.

Comment in

  • Measuring our outcomes.
    Puri A, Lenox RJ. Puri A, et al. South Med J. 2009 Nov;102(11):1102-3. doi: 10.1097/SMJ.0b013e3181b796ae. South Med J. 2009. PMID: 19864994 No abstract available.

References

    1. Girard TD, Kress JP, Fuchs BD, et al. Efficacy and safety of a paired sedation and ventilator weaning protocol for mechanically ventilated patients in intensive care (Awakening and Breathing Controlled trial): a randomised controlled trial. Lancet. 2008;371:126–134. - PubMed
    1. Hopkins RO, Jackson JC. Long-term neurocognitive function after critical illness. Chest. 2006;130:869–878. - PubMed
    1. Hopkins RO, Brett S. Chronic neurocognitive effects of critical illness. Curr Opin Crit Care. 2005;11:369–375. - PubMed
    1. Hopkins RO, Weaver LK, Pope D, et al. Neuropsychological sequelae and impaired health status in survivors of severe acute respiratory distress syndrome. Am J Respir Crit Care Med. 1999;160:50–56. - PubMed
    1. Rothenhäusler HB, Ehrentraut S, Stoll C, et al. The relationship between cognitive performance and employment and health status in long-term survivors of the acute respiratory distress syndrome: results of an exploratory study. Gen Hosp Psychiatry. 2001;23:90–96. - PubMed

Publication types