Monocytes mediate shaving of B-cell-bound anti-CD20 antibodies
- PMID: 21426340
- PMCID: PMC3088985
- DOI: 10.1111/j.1365-2567.2011.03434.x
Monocytes mediate shaving of B-cell-bound anti-CD20 antibodies
Abstract
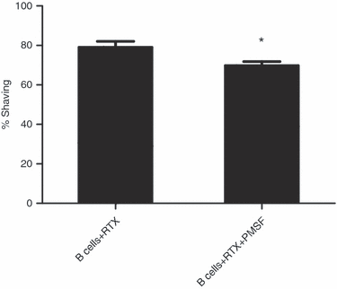
Anti-CD20 monoclonal antibodies are promising for the treatment of B-cell malignancies such as chronic lymphocytic leukaemia and autoimmune diseases where auto-antibodies play an important role. Anti-CD20 such as rituximab (RTX) mediates B-cell depletion through mechanisms such as complement-mediated cytotoxicity and antibody-dependent cellular cytotoxicity. However, in haematological malignancies, such effector mechanisms can be saturated and result in release of malignant B cells with reduced levels of CD20. It has been hypothesized that this is the result of monocyte-mediated shaving of the CD20/RTX complex from the B-cell surface. Here, we confirm, that in vitro co-culture of human monocytes and RTX-labelled syngeneic B cells results in reduced expression of CD20/RTX complex on the B cell surface. This shaving mechanism was the result of active protease activity because EDTA and PMSF were able to mediate partial inhibition. Also, a series of alternative anti-CD20 antibodies representing both type I and type II antibodies were tested for their ability to induce the shaving reaction. These results demonstrate that a monocyte-mediated shaving reaction can lead to complete loss of most anti-CD20 antibodies from the surface of B cells even from healthy donors and this is an important obstacle for antibody-mediated immune therapy. The findings demonstrate the necessity of developing novel antibodies that maintain high effector functions without enabling activation of the shaving reaction.
© 2011 The Authors. Immunology © 2011 Blackwell Publishing Ltd.
Figures







References
-
- Stern M, Herrmann R. Overview of monoclonal antibodies in cancer therapy: present and promise. Crit Rev Oncol Hematol. 2005;54:11–29. - PubMed
-
- Fischer L, Penack O, Gentilini C, et al. The anti-lymphoma effect of antibody-mediated immunotherapy is based on an increased degranulation of peripheral blood natural killer (NK) cells. Exp Hematol. 2006;34:753–9. - PubMed
-
- Golay J, Manganini M, Facchinetti V, et al. Rituximab-mediated antibody-dependent cellular cytotoxicity against neoplastic B cells is stimulated strongly by interleukin-2. Haematologica. 2003;88:1002–12. - PubMed
-
- Tedder TF, Baras A, Xiu Y. Fcgamma receptor-dependent effector mechanisms regulate CD19 and CD20 antibody immunotherapies for B lymphocyte malignancies and autoimmunity. Springer Semin Immunopathol. 2006;28:351–64. - PubMed
MeSH terms
Substances
LinkOut - more resources
Full Text Sources