Evidence that muscle cells do not express the histidine-rich glycoprotein associated with AMP deaminase but can internalise the plasma protein
- PMID: 21556121
- PMCID: PMC3167348
- DOI: 10.4081/ejh.2011.e6
Evidence that muscle cells do not express the histidine-rich glycoprotein associated with AMP deaminase but can internalise the plasma protein
Abstract
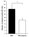
Histidine-rich glycoprotein (HRG) is synthesized by liver and is present at relatively high concentration in the plasma of vertebrates. We have previously described the association of a HRG-like molecule to purified rabbit skeletal muscle AMP deaminase (AMPD). We also provided the first evidence for the presence of a HRG-like protein in human skeletal muscle where a positive correlation between HRG content and total determined AMPD activity has been shown. In the present paper we investigate the origin of skeletal muscle HRG. The screening of a human skeletal muscle cDNA expression library using an anti-HRG antibody failed to reveal any positive clone. The RT-PCR analysis, performed on human skeletal muscle RNA as well as on RNA from the rhabdomyosarcoma (RD) cell line, failed to show any mRNA specific for the plasma HRG or for the putative muscle variant. When the RD cells were incubated with human plasma HRG, a time-dependent increase of the HRG immunoreactivity was detected both at the plasma membrane level and intracellularly. The internalisation of HRG was inhibited by the addition of heparin. The above data strongly suggest that skeletal muscle cells do not synthesize the muscle variant of HRG but instead can actively internalise it from plasma.
Figures




References
-
- Morgan WT, Koskelo P, Koenig H, Conway TP. Human histidine-rich glycoprotein. II. Serum levels in adults, pregnant women and neonates. Proc Soc Exp Biol Med. 1978;158:647–51. - PubMed
-
- Jones AL, Hulett MD, Parish CR. Histidine-rich glycoprotein: A novel adaptor protein in plasma that modulates the immune, vascular and coagulation systems. Immunol Cell Biol. 2005;83:106–18. - PubMed
-
- Koide T, Foster D, Yoshitake S, Davie EW. Amino acid sequence of human histidine-rich glycoprotein derived from the nucleotide sequence of its cDNA. Biochemistry. 1986;25:2220–5. - PubMed
-
- Leung LL, Harpel PC, Nachman RL, Rabellino EM. Histidine-rich glycoprotein is present in human platelets and is released following thrombin stimulation. Blood. 1983;62:1016–21. - PubMed
Publication types
MeSH terms
Substances
LinkOut - more resources
Full Text Sources
Miscellaneous