Energetic consequences of thermal and nonthermal food processing
- PMID: 22065771
- PMCID: PMC3228431
- DOI: 10.1073/pnas.1112128108
Energetic consequences of thermal and nonthermal food processing
Abstract
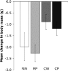
Processing food extensively by thermal and nonthermal techniques is a unique and universal human practice. Food processing increases palatability and edibility and has been argued to increase energy gain. Although energy gain is a well-known effect from cooking starch-rich foods, the idea that cooking meat increases energy gain has never been tested. Moreover, the relative energetic advantages of cooking and nonthermal processing have not been assessed, whether for meat or starch-rich foods. Here, we describe a system for characterizing the energetic effects of cooking and nonthermal food processing. Using mice as a model, we show that cooking substantially increases the energy gained from meat, leading to elevations in body mass that are not attributable to differences in food intake or activity levels. The positive energetic effects of cooking were found to be superior to the effects of pounding in both meat and starch-rich tubers, a conclusion further supported by food preferences in fasted animals. Our results indicate significant contributions from cooking to both modern and ancestral human energy budgets. They also illuminate a weakness in current food labeling practices, which systematically overestimate the caloric potential of poorly processed foods.
Conflict of interest statement
The authors declare no conflict of interest.
Figures




Comment in
-
Cooking clue to human dietary diversity.Proc Natl Acad Sci U S A. 2011 Nov 29;108(48):19101-2. doi: 10.1073/pnas.1116813108. Epub 2011 Nov 16. Proc Natl Acad Sci U S A. 2011. PMID: 22089236 Free PMC article. No abstract available.
-
A calorie is not necessarily a calorie: technical choice, nutrient bioaccessibility, and interspecies differences of edible plants.Proc Natl Acad Sci U S A. 2012 Apr 24;109(17):E991; author reply E992. doi: 10.1073/pnas.1201050109. Epub 2012 Apr 12. Proc Natl Acad Sci U S A. 2012. PMID: 22499793 Free PMC article. No abstract available.
References
-
- Wrangham R. Catching Fire: How Cooking Made Us Human. New York: Basic Books; 2009.
-
- Carmody RN, Wrangham RW. The energetic significance of cooking. J Hum Evol. 2009;57:379–391. - PubMed
-
- Tester RF, Qi X, Karkalas J. Hydrolysis of native starches with amylases. Anim Feed Sci Technol. 2006;130:39–54.
-
- Smil V. Eating meat: Evolution, patterns, and consequences. Popul Dev Rev. 2002;28:599–639.
-
- Delgado CL. Rising consumption of meat and milk in developing countries has created a new food revolution. J Nutr. 2003;133(Suppl 2):3907S–3910S. - PubMed
Publication types
MeSH terms
LinkOut - more resources
Full Text Sources