Effective connectivity among brain regions associated with slow temporal summation of C-fiber-evoked pain in fibromyalgia patients and healthy controls
- PMID: 22480771
- PMCID: PMC3321832
- DOI: 10.1016/j.jpain.2012.01.002
Effective connectivity among brain regions associated with slow temporal summation of C-fiber-evoked pain in fibromyalgia patients and healthy controls
Abstract
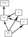
Temporal summation of "second pain" (TSSP) or "windup" results from the summation of C-fiber-evoked responses of dorsal-horn neurons. This phenomenon is dependent on stimulus frequency (≥.33 Hz) and relevant to central sensitization and chronic pain. Our previous neuroimaging studies characterized brain regions associated with TSSP in normal control (NC) and fibromyalgia (FM) groups. During an fMRI scan, subjects received sensitivity-adjusted repetitive heat pulses at .33 on the right foot. FM subjects required significantly lower stimulus intensities than NC to achieve similar TSSP and no significant group differences in the pain-related brain activity were detected. In our current study, we asked whether the effective connectivity among a set of TSSP-related brain regions identified in our previous work differs amongst FM and NC groups. Structural equation modeling was used to characterize the effective connectivity amongst a priori selected brain areas, including the thalamus, S1, S2, posterior insula, and the anterior midcingulate cortex (aMCC) within the left and right hemispheres. This analysis confirmed our a priori models of effective connectivity among these regions mainly confirmed those hypothesized, yet some unpredicted connections were additionally identified (thalamus to aMCC and aMCC to S1). While the models of effective connectivity were not identical in the FM and NC groups, they were very similar. Additionally, the TSSP related effective connectivity of right and left hemisphere regions was very similar. These results provide evidence for significant overlap of the fundamental brain mechanisms that process sensory and affective information related to TSSP in NC and FM groups.
Perspective: Models of effective connectivity involving pain-related processes were estimated with fMRI data from chronic pain and healthy populations. Models were estimated in both hemispheres, and although similar, fibromyalgia was associated with unique models of pain-related processes. Group differences involved the left hemisphere and S1, S2, and posterior insula.
Copyright © 2012 American Pain Society. Published by Elsevier Inc. All rights reserved.
Conflict of interest statement
There is no relationship (financial or otherwise) that poses a conflict of interest, and thus precludes the publication of this study.
Figures




References
-
- Bollen KA. Structural equations with latent variables. New York: Wiley; 1989.
-
- Browne MW, Cudeck R. Alternative ways of assessing model fit. In: Bollen KA, Long JS, editors. Testing structural equation models. Sage; Newbury Park, CA: 1993. pp. 136–162.
-
- Burton H, Fabri M, Alloway K. Cortical areas within the lateral sulcus connected to cutaneous representations in areas 3b and 1: a revised interpretation of the second somatosensory area in macaque monkeys. J Comp Neurol. 1995;355:539–562. - PubMed
-
- Casey KL, Bushnell MC, editors. Pain Imaging: Progress in Pain Research and Management. Vol. 18. IASP Press; Seattle: 2000.
Publication types
MeSH terms
Grants and funding
LinkOut - more resources
Full Text Sources
Medical