Biological activities of Toninia candida and Usnea barbata together with their norstictic acid and usnic acid constituents
- PMID: 23203090
- PMCID: PMC3509606
- DOI: 10.3390/ijms131114707
Biological activities of Toninia candida and Usnea barbata together with their norstictic acid and usnic acid constituents
Abstract
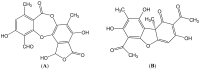
The aim of this study was to investigate the chemical composition of acetone extracts of the lichens Toninia candida and Usnea barbata and in vitro antioxidant, antimicrobial, and anticancer activities of these extracts together with some of their major metabolites. The chemical composition of T. candida and U. barbata extracts was determined using HPLC-UV analysis. The major phenolic compounds in these extracts were norstictic acid (T. candida) and usnic acid (U. barbata). Antioxidant activity was evaluated by free radical scavenging, superoxide anion radical scavenging, reducing power and determination of total phenolic compounds. Results of the study proved that norstictic acid had the largest antioxidant activity. The total content of phenols in the extracts was determined as the pyrocatechol equivalent. The antimicrobial activity was estimated by determination of the minimal inhibitory concentration using the broth microdilution method. The most active was usnic acid with minimum inhibitory concentration values ranging from 0.0008 to 0.5 mg/mL. Anticancer activity was tested against FemX (human melanoma) and LS174 (human colon carcinoma) cell lines using the microculture tetrazolium test. Usnic acid was found to have the strongest anticancer activity towards both cell lines with IC(50) values of 12.72 and 15.66 μg/mL.
Figures



References
-
- Nash T.H. Lichen Biology. Cambridge University Press; Cambridge, MA, USA: p. 1996.
-
- Hodkinson B.P., Gottel N.R., Schadt C.W., Lutzoni F. Photoautotrophic symbiont and geography are major factors affecting highly structured and diverse bacterial communities in the lichen microbiome. Environ. Microbiol. 2012;14:147–161. - PubMed
-
- Vrablikova H., McEvoy M., Solhaug K.A., Bartak M., Gauslaa Y. Annual variation in photoacclimation and photoprotection of the photobiont in the foliose lichen Xanthoria parietina. J. Photochem. Photobiol. B Biol. 2006;83:151–162. - PubMed
-
- Bown D. Encyclopedia of Herbs and Their Uses. Dorling Kindersley; London, UK: p. 2001.
Publication types
MeSH terms
Substances
LinkOut - more resources
Full Text Sources
Other Literature Sources
Molecular Biology Databases