Skip to main page content
U.S. flag

An official website of the United States government

Dot gov

The .gov means it’s official.
Federal government websites often end in .gov or .mil. Before sharing sensitive information, make sure you’re on a federal government site.

Https

The site is secure.
The https:// ensures that you are connecting to the official website and that any information you provide is encrypted and transmitted securely.

Access keys NCBI Homepage MyNCBI Homepage Main Content Main Navigation
Comment
. 2013 Apr 9;3(4):645-655.
doi: 10.1534/g3.113.005553.

Activation-Induced Cytidine Deaminase Does Not Impact Murine Meiotic Recombination

Affiliations
Comment

Activation-Induced Cytidine Deaminase Does Not Impact Murine Meiotic Recombination

Catarina S Cortesao et al. G3 (Bethesda). .

Erratum in

  • Corrigendum.
    [No authors listed] [No authors listed] G3 (Bethesda). 2015 Oct 5;5(10):2217. doi: 10.1534/g3.115.020917. G3 (Bethesda). 2015. PMID: 26438608 Free PMC article. No abstract available.

Abstract

Activation-induced cytidine deaminase (AID) was first described as the triggering enzyme of the B-cell-specific reactions that edit the immunoglobulin genes, namely somatic hypermutation, gene conversion, and class switch recombination. Over the years, AID was also detected in cells other than lymphocytes, and it has been assigned additional roles in the innate defense against transforming retroviruses, in retrotransposition restriction and in DNA demethylation. Notably, AID expression was found in germline tissues, and in heterologous systems it can induce the double-strand breaks required for the initiation of meiotic recombination and proper gamete formation. However, because AID-deficient mice are fully fertile, the molecule is not essential for meiosis. Thus, the remaining question that we addressed here is whether AID influences the frequency of meiotic recombination in mice. We measured the recombination events in the meiosis of male and female mice F1 hybrids of C57BL/6J and BALB/c, in Aicda+/+ and Aicda-/- background by using a panel of single-nucleotide polymorphisms that distinguishes C57BL/6J from BALB/c genome across the 19 autosomes. In agreement with the literature, we found that the frequency of recombination in the female germline was greater than in male germline, both in the Aicda+/+ and Aicda-/- backgrounds. No statistical difference was found in the average recombination events between Aicda+/+ and Aidca-/- animals, either in females or males. In addition, the recombination frequencies between single-nucleotide polymorphisms flanking the immunoglobulin heavy and immunoglobulin kappa loci was also not different. We conclude that AID has a minor impact, if any, on the overall frequency of meiotic recombination.

Keywords: AID; cytidine deaminase; double-strand breaks; germline; meiotic recombination.

PubMed Disclaimer

Figures

Figure 1
Figure 1
(A) Recombination events for all studied groups. The numbers of recombination events were calculated for all 19 autosomes per offspring of females F1.Aicda+/+ (FWT, n = 79), females F1. Aicda−/− (FKO, n = 79), males F1. Aicda+/+ (MWT, n = 78), and males F1. Aicda−/− (MKO, n = 78). Each dot represents a sample; lines represent mean ± SEM. A Mann-Whitney test was used to compare sample groups using a Bonferroni correction for multiple testing, * P < 0.0125; n.s., nonsignificant. (B) Average recombination events for centromeric and telomeric regions. For these analyses, only the SNP pairs closer to the regions were included. Thus, for the centromeric region only, the recombination frequencies of the first SNP pair in chromosomes 1, 7, 8, 11, 18, and 19 (n = 6) were used in the comparison between progeny of the female (FWT) and the male (MWT) F1.Aicda+/+. For the telomeric regions only, the recombination frequencies of the last SNP pair in chromosomes 1, 2, 3, 4, 5, 8, 9, 11, 14, 16, 17, and 19 (n = 12) were used in the comparison between the progeny of the female (FWT) and the male (MWT) F1.Aicda+/+. Bar and bar error represent mean ± SEM. A Mann-Whitney test was used to compare sample groups using a Bonferroni correction for multiple testing, * P < 0.0125; n.s., nonsignificant. (C) Average recombination events per physical size (Mbp/cM) for Chromosomes 1 and 19 for F1.Aicda+/+ progeny. Bar and bar error represent mean ± SEM. A Mann-Whitney test was used to compare FWT vs. MWT groups in each chromosome, *P < 0.05.
Figure 2
Figure 2
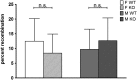
Proportions of recombination events per SNP pair for all 19 autosomes calculated for offspring of females F1.Aicda+/+ (FWT, n = 79, white bars), females F1.Aicda−/− (FKO, n = 79, white bars with stripes), males F1.Aicda+/+ (MWT, n = 78, gray bars), and males F1.Aicda−/− (MKO, n = 78, gray bars with stripes). On the x-axis, the order of the SNP pairs is shown. Error bars correspond to 95% confidence intervals as estimated by the Agresti-Coull method. A Fisher-exact test was used to compare sample groups using a Bonferroni correction for multiple testing, *P < 0.000225.
Figure 3
Figure 3
Average recombination frequencies of the IgH locus (chromosome 12), a putative AID target. Recombination frequencies were calculated using genotyping results from SNP in approximate position 108 Mbp and PCR results from VNTR sequence that distinguishes C57BL/6J from BALB/C genome in approximate position 116 Mbp calculated for offspring of FWT (n = 68), FKO (n = 67), MWT (n = 68), and MKO (n = 67). Bar and bar error represent mean ± SEM. A Mann-Whitney test was used to compare sample groups using a Bonferroni correction for multiple testing, *P < 0.0125; n.s. is non-significant.
Figure 4
Figure 4
(A) Aicda/beta-actin expression levels measured by real-time PCR in activated B-cells of B6.Aicda+/+ and B6.Aicda−/−, B6.Aicda+/+ sorted 4N, 2N, and N (WT 4N, 2N, and N, respectively) spermatocytes, and unsorted testicular (WT T) and epididymal (WT E) sperm cells. (B) Aicda/beta-actin expression levels measured by real-time PCR in activated B-cells of B6.Aicda+/+ and B6.Aicda−/−, and B6.Aicda+/+ ovaries from non-superovulated females (WT ovary-non-superovulated), “complete oocyte” samples (WT oocytes + granulosa cells); only cells of the granulosa “oocyte free” (WT granulosa cells) and isolated oocytes (WT oocytes). Error bars correspond to two independent experiments in which the tissues were pooled from 16−20 females per sample. (C) Western blot analysis of activated B-cells of B6.Aicda+/+ and B6.Aicda−/−, B6.Aicda+/+ ovaries from non-superovulated females (WT ovary non-superovulated), “complete oocyte” samples (WT oocytes + granulosa cells); only cells of the granulosa “oocyte free” (WT granulosa cells) and isolated oocytes (WT oocytes).

Comment on

References

    1. Arakawa H., Hauschild J., Buerstedde J.-M., 2002. Requirement of the activation-induced deaminase (AID) gene for immunoglobulin gene conversion. Science 295: 1301–1306. - PubMed
    1. Barreto V. M., Magor B. G., 2011. Activation-induced cytidine deaminase structure and functions: a species comparative view. Dev. Comp. Immunol. 35: 991–1007. - PubMed
    1. Bastos H., Lassalle B., Chicheportiche A., Riou L., Testart J., et al. , 2005. Flow cytometric characterization of viable meiotic and postmeiotic cells by Hoechst 33342 in mouse spermatogenesis. Cytometry A 65: 40–49. - PubMed
    1. Baudat F., Manova K., Yuen J. P., Jasin M., Keeney S., 2000. Chromosome synapsis defects and sexually dimorphic meiotic progression in mice lacking Spo11. Mol. Cell 6: 989–998. - PubMed
    1. Begum N. A., Honjo T., 2012. Evolutionary comparison of the mechanism of DNA cleavage with respect to immune diversity and genomic instability. Biochemistry 51: 5243–5256. - PubMed

Substances

LinkOut - more resources