What is the primary cause of individual differences in contrast sensitivity?
- PMID: 23922732
- PMCID: PMC3724920
- DOI: 10.1371/journal.pone.0069536
What is the primary cause of individual differences in contrast sensitivity?
Abstract
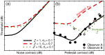
One of the primary objectives of early visual processing is the detection of luminance variations, often termed image contrast. Normal observers can differ in this ability by at least a factor of 4, yet this variation is typically overlooked, and has never been convincingly explained. This study uses two techniques to investigate the main source of individual variations in contrast sensitivity. First, a noise masking experiment assessed whether differences were due to the observer's internal noise, or the efficiency with which they extracted information from the stimulus. Second, contrast discrimination functions from 18 previous studies were compared (pairwise, within studies) using a computational model to determine whether differences were due to internal noise or the low level gain properties of contrast transduction. Taken together, the evidence points to differences in contrast gain as being responsible for the majority of individual variation across the normal population. This result is compared with related findings in attention and amblyopia.
Conflict of interest statement
Figures






References
-
- Owsley C, Sekuler R, Siemsen D (1983) Contrast sensitivity throughout adulthood. Vision Res 23: 689–699. - PubMed
-
- Dobkins KR, Gunther KL, Peterzell DH (2000) What covariance mechanisms underlie green/red equiluminance, luminance contrast sensitivity and chromatic (green/red) contrast sensitivity? Vision Res 40: 613–628. - PubMed
-
- Peterzell DH, Teller DY (1996) Individual differences in contrast sensitivity functions: the lowest spatial frequency channels. Vision Res 36: 3077–3085. - PubMed
-
- Schefrin BE, Tregear SJ, Harvey LO Jr, Werner JS (1999) Senescent changes in scotopic contrast sensitivity. Vision Res 39: 3728–3736. - PubMed
MeSH terms
LinkOut - more resources
Full Text Sources
Other Literature Sources