Neuroendocrine tumors show altered expression of chondroitin sulfate, glypican 1, glypican 5, and syndecan 2 depending on their differentiation grade
- PMID: 24570896
- PMCID: PMC3917325
- DOI: 10.3389/fonc.2014.00015
Neuroendocrine tumors show altered expression of chondroitin sulfate, glypican 1, glypican 5, and syndecan 2 depending on their differentiation grade
Abstract
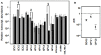
Neuroendocrine tumors (NETs) are found throughout the body and are important as they give rise to distinct clinical syndromes. Glycosaminoglycans, in proteoglycan (PG) form or as free chains, play vital roles in every step of tumor progression. Analyzing tumor samples with different degrees of histological differentiation we determined the existence of important alterations in chondroitin sulfate (CS) chains. Analysis of the transcription of the genes responsible for the production of CS showed a decline in the expression of some genes in poorly differentiated compared to well-differentiated tumors. Using anti-CS antibodies, normal stroma was always negative whereas tumoral stroma always showed a positive staining, more intense in the highest grade carcinomas, while tumor cells were negative. Moreover, certain specific cell surface PGs experienced a drastic decrease in expression depending on tumor differentiation. Syndecan 2 levels were very low or undetectable in healthy tissues, increasing significantly in well-differentiated tumors, and decreasing in poorly differentiated NETs, and its expression levels showed a positive correlation with patient survival. Glypican 5 appeared overexpressed in high-grade tumors with epithelial differentiation, and not in those that displayed a neuroendocrine phenotype. In contrast, normal neuroendocrine cells were positive for glypican 1, displaying intense staining in cytoplasm and membrane. Low-grade NETs had increased expression of this PG, but this reduced as tumor grade increased, its expression correlating positively with patient survival. Whilst elevated glypican 1 expression has been documented in different tumors, the downregulation in high-grade tumors observed in this work suggests that this proteoglycan could be involved in cancer development in a more complex and context-dependent manner than previously thought.
Keywords: chondroitin sulfate; glycosaminoglycan; glypican 1; glypican 5; neuroendocrine tumor; proteoglycan; syndecan 2.
Figures












References
LinkOut - more resources
Full Text Sources
Other Literature Sources