Interplay between chain stiffness and excluded volume of semiflexible polymers confined in nanochannels
- PMID: 24588196
- PMCID: PMC3977884
- DOI: 10.1063/1.4865965
Interplay between chain stiffness and excluded volume of semiflexible polymers confined in nanochannels
Abstract
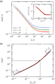
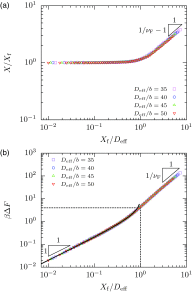
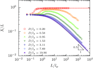
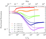
The properties of channel-confined semiflexible polymers are determined by a complicated interplay of chain stiffness and excluded volume effects. Using Pruned-Enriched Rosenbluth Method (PERM) simulations, we study the equilibrium properties of channel-confined polymers by systematically controlling chain stiffness and excluded volume. Our calculations of chain extension and confinement free energy for freely jointed chains with and without excluded volume show excellent agreement with theoretical predictions. For ideal wormlike chains, the extension is seen to crossover from Odijk behavior in strong confinement to zero-stretching, bulk-like behavior in weak confinement. In contrast, for self-avoiding wormlike chains, we always observe that the linear scaling of the extension with the contour length is valid in the long-chain limit irrespective of the regime of confinement, owing to the coexistence of stiffness and excluded volume effects. We further propose that the long-chain limit for the extension corresponds to chain lengths wherein the projection of the end-to-end distance along the axis of the channel is nearly equal to the mean span parallel to the axis. For DNA in nanochannels, this limit was identified using PERM simulations out to molecular weights of more than 1 megabase pairs; the molecular weight of λ-DNA is found to exhibit nearly asymptotic fractional extension for channels sizes used commonly in experiments.
Figures









References
Publication types
MeSH terms
Substances
Grants and funding
LinkOut - more resources
Full Text Sources
Other Literature Sources