Heat-related morbidity in brisbane, australia: spatial variation and area-level predictors
- PMID: 24787277
- PMCID: PMC4123028
- DOI: 10.1289/ehp.1307496
Heat-related morbidity in brisbane, australia: spatial variation and area-level predictors
Abstract
Background: Extreme heat is a leading weather-related cause of illness and death in many locations across the globe, including subtropical Australia. The possibility of increasingly frequent and severe heat waves warrants continued efforts to reduce this health burden, which could be accomplished by targeting intervention measures toward the most vulnerable communities.
Objectives: We sought to quantify spatial variability in heat-related morbidity in Brisbane, Australia, to highlight regions of the city with the greatest risk. We also aimed to find area-level social and environmental determinants of high risk within Brisbane.
Methods: We used a series of hierarchical Bayesian models to examine city-wide and intracity associations between temperature and morbidity using a 2007-2011 time series of geographically referenced hospital admissions data. The models accounted for long-term time trends, seasonality, and day of week and holiday effects.
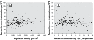
Results: On average, a 10°C increase in daily maximum temperature during the summer was associated with a 7.2% increase in hospital admissions (95% CI: 4.7, 9.8%) on the following day. Positive statistically significant relationships between admissions and temperature were found for 16 of the city's 158 areas; negative relationships were found for 5 areas. High-risk areas were associated with a lack of high income earners and higher population density.
Conclusions: Geographically targeted public health strategies for extreme heat may be effective in Brisbane, because morbidity risk was found to be spatially variable. Emergency responders, health officials, and city planners could focus on short- and long-term intervention measures that reach communities in the city with lower incomes and higher population densities, including reduction of urban heat island effects.
Conflict of interest statement
The authors declare they have no actual or potential competing financial interests.
Figures
References
-
- Australian Bureau of Statistics. 2006 Census Data. 2006. Available: http://abs.gov.au/websitedbs/censushome.nsf/home/historicaldata2006 [accessed 1 July 2012]
-
- Barnett AG. Temperature and cardiovascular deaths in the US elderly: changes over time. Epidemiology. 2007;18:369–372. - PubMed
-
- Barnett AG, Hajat S, Gasparrini A, Rocklöv J. Cold and heat waves in the United States. Environ Res. 2012;112:218–224. - PubMed
-
- Bassil KL, Cole DC, Moineddin R, Craig AM, Lou WY, Schwartz B, et al. Temporal and spatial variation of heat-related illness using 911 medical dispatch data. Environ Res. 2009;109:600–606. - PubMed
Publication types
MeSH terms
Substances
LinkOut - more resources
Full Text Sources
Other Literature Sources
Medical
