Natural history of patients with congenital dysfibrinogenemia
- PMID: 25320241
- PMCID: PMC4296015
- DOI: 10.1182/blood-2014-06-582866
Natural history of patients with congenital dysfibrinogenemia
Abstract
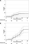
We conducted a multicenter study of 101 patients with congenital dysfibrinogenemia (CD) to characterize the incidence of hemorrhagic and thrombotic events as well as complications of pregnancy and surgery. At the time of diagnosis, 10.9% and 13.9% had experienced major bleeding and thrombotic events, respectively. During a mean follow-up of 8.8 years after CD diagnosis, the incidence of major bleeding and thrombotic events was 2.5 and 18.7 per 1000 patient-years, respectively, with estimated cumulative incidences at age 50 years of 19.2% and 30.1%. We identified 111 pregnancies with an overall incidence of spontaneous abortions and postpartum hemorrhage of 19.8% and 21.4%, respectively. The risk of postpartum hemorrhage was associated with a previously identified bleeding phenotype (odds ratio, 5.8; 95% CI, 1.2 to 28.0). Among 137 surgical procedures analyzed, 9 (6.5%) were complicated by abnormal bleeding. Propositi vs relatives, sex, mutation hotspots, fibrinogen levels, and activity:antigen ratios were not associated with the risk of thrombotic or bleeding outcomes. In conclusion, the results of our study, the largest in genotyped CD and the first including long-term history, indicate that propositi with CD and their relatives carry not only a high risk of major bleeding, including postpartum hemorrhage, but also of thrombotic event.
© 2015 by The American Society of Hematology.
Figures
 
              
              
              
              
                
                
                 
              
              
              
              
                
                
                References
- 
    - Neerman-Arbez M, de Moerloose P. Hereditary fibrinogen abnormalities. In: Kaushansky K, Lichtman M, Beutler E, Kipps T, Prchal J, Seligsohn U, editors. Williams Hematology. New York: McGraw-Hill; 2010:2051-2068.
 
- 
    - Galanakis DK. Afibrinogenemias and dysfibrinogenemias. In: Marder V, White GC, Aird WC, editors. Hemostasis and Thrombosis: Basic Principles and Clinical Practice. Philadelphia: Lippincott Williams & Wilkins; 2012. pp. 693–708.
 
- 
    - de Moerloose P, Casini A, Neerman-Arbez M. Congenital fibrinogen disorders: an update. Semin Thromb Hemost. 2013;39(6):585–595. - PubMed
 
- 
    - Peyvandi F. Epidemiology and treatment of congenital fibrinogen deficiency. Thromb Res. 2012;130(Suppl 2):S7–S11. - PubMed
 
- 
    - Haverkate F, Samama M. Familial dysfibrinogenemia and thrombophilia. Report on a study of the SSC Subcommittee on Fibrinogen. Thromb Haemost. 1995;73(1):151–161. - PubMed
 
Publication types
MeSH terms
Supplementary concepts
LinkOut - more resources
- Full Text Sources
- Other Literature Sources
- Medical
 
        