Removal of amoxicillin from wastewater by self-made Polyethersulfone membrane using nanofiltration
- PMID: 25379184
- PMCID: PMC4207884
- DOI: 10.1186/s40201-014-0127-1
Removal of amoxicillin from wastewater by self-made Polyethersulfone membrane using nanofiltration
Abstract
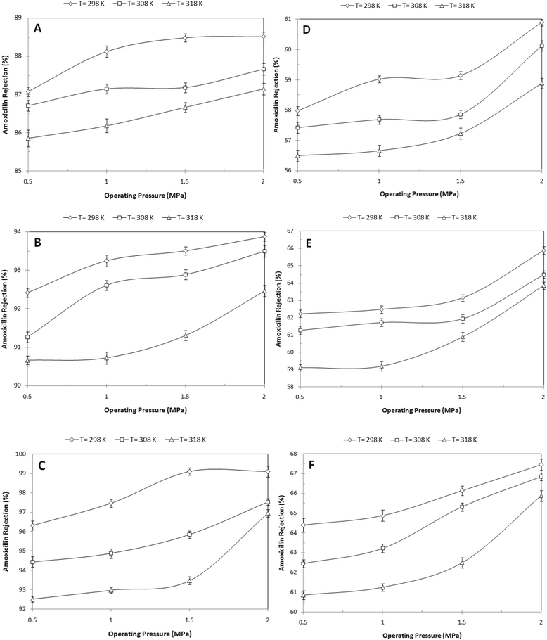
The present study investigated the performance of a self-made nanofiltration (NF) membrane for the removal of antibiotics from wastewater under changing operating conditions such as pH, initial feed concentration, operating pressure, and temperature. Amoxicillin (AMX) was used as one of the commonly prescribed antibiotics. A self-made NF membrane containing Polyethersulfone (PES), and Polyvinylpyrrolidone (PVP) was modified with Polyethylene glycol hexadecyl ether (Brij®58) surfactant. The self-made membrane was characterized by water contact angle, zeta potential, ATR-FTIR spectroscopy, and scanning electronic microscope (SEM). The obtained results showed that the AMX rejection and permeation flux by the self-made membrane varied from 56.49% to 99.09% and from 15.14 L/m(2)h to 110.29 L/m(2)h, respectively. The AMX rejection decreased at a higher level of initial feed concentration while other operating parameters such as pH, operating pressure, and temperature had a negligible effect on the removal of AMX from wastewater by the self-made NF membrane. The highest removal rate was achieved under conditions of pH 9.0, a temperature of 298 K, an operating pressure of 2 MPa, and an initial feed concentration of 20 ppm. According to the research findings, the self-made NF membrane is recommended for the removal of AMX to a considerable extent at low initial feed concentrations.
Keywords: Amoxicillin removal; Nanofiltration; Polyethersulfone membrane; Wastewater treatment.
Figures








References
-
- Rizzo L, Manaia C, Merlin C, Schwartz T, Dagot C, Ploy MC, Michael I, Fatta-Kassinos D. Urban wastewater treatment plants as hotspots for antibiotic resistant bacteria and genes spread into the environment: a review. Sci Total Environ. 2013;447:345–360. doi: 10.1016/j.scitotenv.2013.01.032. - DOI - PubMed
LinkOut - more resources
Full Text Sources
Other Literature Sources
Miscellaneous