Anxiety, depression and impaired health-related quality of life are therapeutic challenges in patients with multiple sclerosis
- PMID: 25478088
- PMCID: PMC4253347
- DOI: 10.4081/mi.2010.e5
Anxiety, depression and impaired health-related quality of life are therapeutic challenges in patients with multiple sclerosis
Abstract
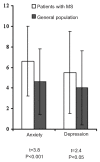
Anxiety, depression and impaired health-related quality of life (HRQoL) are commonly reported in patients with multiple sclerosis (MS) and are of great interest for therapeutic approaches. Based on regional differences a quantitative assessment of these factors in comparison to the general population, and the consideration of demographic cofactors, would be useful when designing specific interventions. We adopted such an approach in a German cohort of MS patients. Anxiety, depression (HADS) and HRQoL (SF-36) were measured in 49 consecutive outpatients with MS and compared to age- and gender-adjusted control groups (n=1330 for HADS; n=5087 for SF-36) extracted from German National Health Surveys. Patients with MS showed significantly increased levels of anxiety and depression as well as decreased HRQoL with the exception of mental health; the effect sizes ranged from 0.39 (depression) to 1.06 (physical functioning). As could be expected, MS patients with relapsing-remitting clinical course had better physical functioning than patients with secondary progressive MS. There were strong relations between anxiety and depression (r=0.54; P<0.01), and between neurological impairment (EDSS) and physical functioning (r=-0.80; P<0.001) as well as depression (r=0.48; P<0.05). This investigation of MS patients confirms the prevalence and impact of anxiety, depression and most of the HRQoL dimensions in MS patients and provides evidence for the usefulness of a quantitative comparison to a region-specific general population as a starting point for therapeutic approaches.
Keywords: anxiety; depression; health-related quality of life; multiple sclerosis..
Conflict of interest statement
Conflict of interest: the authors report no conflicts of interest.
Figures


References
-
- Noseworthy JH, Luccinetti C, Rodriguez M, Weinshenker BG. Multiple Sclerosis. N Eng J Med. 2000;343:938–52. - PubMed
-
- Feinstein A. The neuropsychiatry of multiple sclerosis. Can J Psychiatry. 2004;49:157–63. - PubMed
-
- Sa MJ. Psychological aspects of multiple sclerosis. Clin Neurol Neurosurg. 2008;110:868–77. - PubMed
-
- Patten SB, Beck CA, Williams JV, et al. Major depression in multiple sclerosis: A population-based perspective. Neurology. 2003;61:1524–7. - PubMed
Publication types
LinkOut - more resources
Full Text Sources
Research Materials