Low penetrance in facioscapulohumeral muscular dystrophy type 1 with large pathological D4Z4 alleles: a cross-sectional multicenter study
- PMID: 25603992
- PMCID: PMC4320820
- DOI: 10.1186/s13023-014-0218-1
Low penetrance in facioscapulohumeral muscular dystrophy type 1 with large pathological D4Z4 alleles: a cross-sectional multicenter study
Abstract
Background: Facioscapulohumeral muscular dystrophy type 1(FSHD1) is an autosomal dominant disorder associated with the contraction of D4Z4 less than 11 repeat units (RUs) on chromosome 4q35. Penetrance in the range of the largest alleles is poorly known. Our objective was to study the penetrance of FSHD1 in patients carrying alleles ranging between 6 to10 RUs and to evaluate the influence of sex, age, and several environmental factors on clinical expression of the disease.
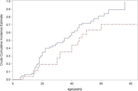
Methods: A cross-sectional multicenter study was conducted in six French and one Swiss neuromuscular centers. 65 FSHD1 affected patients carrying a 4qA allele of 6-10 RUs were identified as index cases (IC) and their 119 at-risk relatives were included. The age of onset was recorded for IC only. Medical history, neurological examination and manual muscle testing were performed for each subject. Genetic testing determined the allele size (number of RUs) and the 4qA/4qB allelic variant. The clinical status of relatives was established blindly to their genetic testing results. The main outcome was the penetrance defined as the ratio between the number of clinically affected carriers and the total number of carriers.
Results: Among the relatives, 59 carried the D4Z4 contraction. At the clinical level, 34 relatives carriers were clinically affected and 25 unaffected. Therefore, the calculated penetrance was 57% in the range of 6-10 RUs. Penetrance was estimated at 62% in the range of 6-8 RUs, and at 47% in the range of 9-10 RUs. Moreover, penetrance was lower in women than men. There was no effect of drugs, anesthesia, surgery or traumatisms on the penetrance.
Conclusions: Penetrance of FSHD1 is low for largest alleles in the range of 9-10 RUs, and lower in women than men. This is of crucial importance for genetic counseling and clinical management of patients and families.
Figures
References
-
- Padberg GW. Facioscapulohumeral Disease. Leiden, The Netherlands: University of Leiden; 1982.
Publication types
MeSH terms
Substances
LinkOut - more resources
Full Text Sources
Other Literature Sources
