G6PD gene variants and its association with malaria in a Sri Lankan population
- PMID: 25885177
- PMCID: PMC4343272
- DOI: 10.1186/s12936-015-0603-9
G6PD gene variants and its association with malaria in a Sri Lankan population
Abstract
Background: Glucose-6-phosphate dehydrogenase (G6PD) is an enzyme that plays an important role in many cellular functions. Deficiency of this enzyme results from point mutations in the coding region of the G6PD gene. G6PD-deficiency is important in malaria, as certain anti-malarial drugs could induce haemolysis in such patients and mutations in this gene may influence the susceptibility or resistance to the disease. Detailed information on genetic variations in the G6PD gene for Sri Lankan populations is yet to be revealed. This study describes a set of G6PD mutations present in a Sri Lankan population and their association with uncomplicated malaria.
Methods: DNA was extracted from 1,051 individuals. Sixty-eight SNPs in the region of the G6PD gene were genotyped. A database created during the 1992-1993 malaria epidemic for the same individuals was used to assess the associations between the G6PD SNPs and parasite density or disease severity of uncomplicated malaria infections. Linkage disequilibrium for SNPs and haplotype structures were identified.
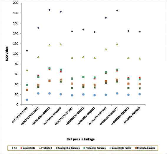
Results: Seventeen genetic variants were polymorphic in this population. The mutant allele was the major allele in 9 SNPs. Common G6PD variants already described in Asians or South-Asians seemed to be absent or rare in this population. Both the severity of disease in uncomplicated malaria infections and parasitaemia were significantly lower in males infected with Plasmodium falciparum carrying the ancestral allele of rs915942 compared to those carrying the mutant allele. The parasite density of males infected with P. falciparum was significantly lower also in those who possessed the mutant alleles of rs5986877, rs7879049 and rs7053878. Two haplotype blocks were identified, where the recombination rates were higher in males with no history of malaria when compared to those who have experienced the disease in the past.
Conclusions: This is the most detailed survey of G6PD SNPs in a Sri Lankan population undertaken so far that enabled novel description of single nucleotide polymorphisms within the G6PD gene. A few of these genetic variations identified, demonstrated a tendency to be associated with either disease severity or parasite density in uncomplicated disease in males. Known G6PD gene polymorphisms already described from elsewhere were either absent or rare in the local study population.
Figures
 
              
              
              
              
                
                
                 
              
              
              
              
                
                
                References
- 
    - Phompradit P, Kuesap J, Chaijaroenkul W, Rueangweerayut R, Hongkaew Y, Rujira Y, et al. Prevalence and distribution of glucose-6-phosphate dehydrogenase (G6PD) variants in Thai and Burmese populations in malaria endemic areas of Thailand. Malar J. 2011;10:368. doi: 10.1186/1475-2875-10-368. - DOI - PMC - PubMed
 
Publication types
MeSH terms
Substances
Grants and funding
LinkOut - more resources
- Full Text Sources
- Other Literature Sources
- Medical
- Miscellaneous
 
        