Superlattices assembled through shape-induced directional binding
- PMID: 25903309
- PMCID: PMC4423233
- DOI: 10.1038/ncomms7912
Superlattices assembled through shape-induced directional binding
Abstract
Organization of spherical particles into lattices is typically driven by packing considerations. Although the addition of directional binding can significantly broaden structural diversity, nanoscale implementation remains challenging. Here we investigate the assembly of clusters and lattices in which anisotropic polyhedral blocks coordinate isotropic spherical nanoparticles via shape-induced directional interactions facilitated by DNA recognition. We show that these polyhedral blocks--cubes and octahedrons--when mixed with spheres, promote the assembly of clusters with architecture determined by polyhedron symmetry. Moreover, three-dimensional binary superlattices are formed when DNA shells accommodate the shape disparity between nanoparticle interfaces. The crystallographic symmetry of assembled lattices is determined by the spatial symmetry of the block's facets, while structural order depends on DNA-tuned interactions and particle size ratio. The presented lattice assembly strategy, exploiting shape for defining the global structure and DNA-mediation locally, opens novel possibilities for by-design fabrication of binary lattices.
Figures
 
              
              
              
              
                
                
                 
              
              
              
              
                
                
                 
              
              
              
              
                
                
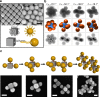
                 . (e) Low-magnification SEM image of SNP/CB-assembled crystals, where square-lattice ordering can be observed from the fragments, even though drying effects cause cracks in the crystals (scale bar, 500 nm). (f,g) High-magnification images of superlattice, demonstrating the alternate packing of SNPs and CBs in the 3D square lattice (scale bar, 200 nm).
. (e) Low-magnification SEM image of SNP/CB-assembled crystals, where square-lattice ordering can be observed from the fragments, even though drying effects cause cracks in the crystals (scale bar, 500 nm). (f,g) High-magnification images of superlattice, demonstrating the alternate packing of SNPs and CBs in the 3D square lattice (scale bar, 200 nm). 
              
              
              
              
                
                
                 
              
              
              
              
                
                
                 
              
              
              
              
                
                
                 symmetry (left bottom) for 46-nm SNP/46-nm OC assemblies. (f–h) SEM images of SNP/OC-assembled superlattice fragments (scale bar, 100 nm).
 symmetry (left bottom) for 46-nm SNP/46-nm OC assemblies. (f–h) SEM images of SNP/OC-assembled superlattice fragments (scale bar, 100 nm).References
- 
    - Kuzyk A. et al.. DNA-based self-assembly of chiral plasmonic nanostructures with tailored optical response. Nature 483, 311–314 (2012). - PubMed
 
- 
    - Henry E. et al.. Crystallization of fluorescent quantum dots within a three-dimensional bio-organic template of actin filaments and lipid membranes. Nano. Lett. 11, 5443–5448 (2011). - PubMed
 
- 
    - Zhang Y. G., Lu F., Yager K. G., van der Lelie D. & Gang O. A general strategy for the DNA-mediated self-assembly of functional nanoparticles into heterogeneous systems. Nat. Nanotechnol. 8, 865–872 (2013). - PubMed
 
- 
    - Nykypanchuk D., Maye M. M., van der Lelie D. & Gang O. DNA-guided crystallization of colloidal nanoparticles. Nature 451, 549–552 (2008). - PubMed
 
- 
    - Macfarlane R. J. et al.. Nanoparticle superlattice engineering with DNA. Science 334, 204–208 (2011). - PubMed
 
Publication types
MeSH terms
Substances
LinkOut - more resources
- Full Text Sources
- Other Literature Sources
