The effects of acute garlic supplementation on the fibrinolytic and vasoreactive response to exercise
- PMID: 26019694
- PMCID: PMC4446086
- DOI: 10.1186/s12970-015-0084-9
The effects of acute garlic supplementation on the fibrinolytic and vasoreactive response to exercise
Abstract
Background: The purpose of this project was to examine the effects of acute garlic supplementation on fibrinolysis and vasoreactivity both at rest and following maximal exercise.
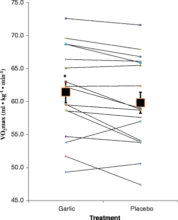
Methods: Eighteen healthy trained males (20.9 ± 2.2 years, 178 ± 7.7 cm, 75.5 ± 9.6 kg, VO2max = 59.8 ± 6.7 ml • kg(-1) • min(-1)) performed a graded treadmill test to volitional exhaustion. Blood samples were taken at rest, within two minutes post-exercise, and one hour post-exercise. Eleven of the subjects also had a brachial vasoreactivity test performed immediately after the blood sample to assess flow-mediated dilation (FMD) of the brachial artery. Participants were randomly assigned to ingest either 900 mg of powdered garlic or a placebo three hours before the exercise session. The supplement was distributed in a double-blind, crossover fashion. Participants repeated the protocol with the other treatment after a 14-day washout period. Paired t-tests were used to compare VO2max between the two trials. A two-factor (treatment and time) repeated measures analysis of variance (ANOVA) was used to assess changes in FMD, tPA activity, tPA antigen, and PAI-1 activity. A priori statistical significance was set at P <0.05.
Results: VO2max was greater for the garlic treatment trial vs. placebo (Placebo = 59.8 ± 6.7 ml • kg(-1) • min(-1); Garlic = 61.4 ± 6.6 ml • kg(-1) • min(-1)). There was no main effect for treatment and no treatment x time interaction for FMD or any fibrinolytic variables examined.
Conclusion: Acute garlic supplementation does not alter vasoreactivity, fibrinolytic potential or the fibrinolytic response to exercise in young healthy trained males. Acute garlic supplementation does, however, cause a small but statistically significant increase in VO2max. It remains unclear if this increase in VO2max is of functional importance.
Figures



References
Publication types
MeSH terms
Substances
LinkOut - more resources
Full Text Sources
Other Literature Sources
Medical
Miscellaneous