Functional Connectivity Changes in Resting-State EEG as Potential Biomarker for Amyotrophic Lateral Sclerosis
- PMID: 26091258
- PMCID: PMC4474889
- DOI: 10.1371/journal.pone.0128682
Functional Connectivity Changes in Resting-State EEG as Potential Biomarker for Amyotrophic Lateral Sclerosis
Abstract
Background: Amyotrophic Lateral Sclerosis (ALS) is heterogeneous and overlaps with frontotemporal dementia. Spectral EEG can predict damage in structural and functional networks in frontotemporal dementia but has never been applied to ALS.
Methods: 18 incident ALS patients with normal cognition and 17 age matched controls underwent 128 channel EEG and neuropsychology assessment. The EEG data was analyzed using FieldTrip software in MATLAB to calculate simple connectivity measures and scalp network measures. sLORETA was used in nodal analysis for source localization and same methods were applied as above to calculate nodal network measures. Graph theory measures were used to assess network integrity.
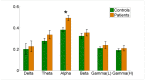
Results: Cross spectral density in alpha band was higher in patients. In ALS patients, increased degree values of the network nodes was noted in the central and frontal regions in the theta band across seven of the different connectivity maps (p<0.0005). Among patients, clustering coefficient in alpha and gamma bands was increased in all regions of the scalp and connectivity were significantly increased (p=0.02). Nodal network showed increased assortativity in alpha band in the patients group. The Clustering Coefficient in Partial Directed Connectivity (PDC) showed significantly higher values for patients in alpha, beta, gamma, theta and delta frequencies (p=0.05).
Discussion: There is increased connectivity in the fronto-central regions of the scalp and areas corresponding to Salience and Default Mode network in ALS, suggesting a pathologic disruption of neuronal networking in early disease states. Spectral EEG has potential utility as a biomarker in ALS.
Conflict of interest statement
Figures






References
-
- Byrne S, Elamin M, Bede P, Shatunov A, Walsh C, Corr B, et al. Cognitive and clinical characteristics of patients with amyotrophic lateral sclerosis carrying a C9orf72 repeat expansion: a population-based cohort study. Lancet neurology. 2012;11(3):232–40. Epub 2012/02/07. 10.1016/s1474-4422(12)70014-5 ; PubMed Central PMCID: PMCPmc3315021. - DOI - PMC - PubMed
-
- Furtula J, Johnsen B, Christensen PB, Pugdahl K, Bisgaard C, Christensen MK, et al. MUNIX and incremental stimulation MUNE in ALS patients and control subjects. Clinical neurophysiology: official journal of the International Federation of Clinical Neurophysiology. 2013;124(3):610–8. Epub 2012/10/09. 10.1016/j.clinph.2012.08.023 . - DOI - PubMed
Publication types
MeSH terms
Substances
LinkOut - more resources
Full Text Sources
Other Literature Sources
Medical
Miscellaneous