Validation of the VEINES-QOL quality of life instrument in venous leg ulcers: repeatability and validity study embedded in a randomised clinical trial
- PMID: 26260973
- PMCID: PMC4531536
- DOI: 10.1186/s12872-015-0080-7
Validation of the VEINES-QOL quality of life instrument in venous leg ulcers: repeatability and validity study embedded in a randomised clinical trial
Abstract
Background: VEINES-QOL/Sym is a disease-specific quality of life instrument for use in venous diseases of the leg. Its relative scoring system precludes comparisons between studies. There were very few venous leg ulcer patients in the validation samples. We report a validation study for venous leg ulcers and develop a scoring system which enables comparison between studies.
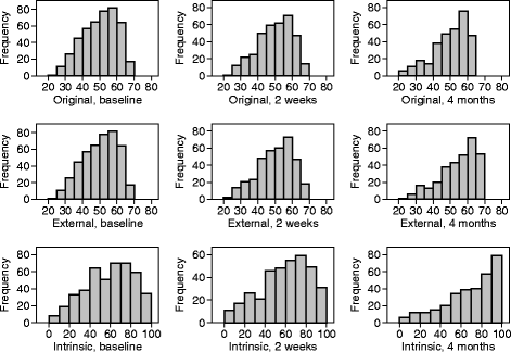
Methods: Four hundred fifty-one participants in the VenUS IV trial of the management of venous leg ulcers were asked to complete a VEINES-QOL questionnaire at recruitment, along with SF-12, pain, and other aspects of quality of life. VEINES-QOL was repeated after two weeks and after 4 months. Healing of ulcers was confirmed by blind assessment of digital photographs. Three scoring systems for VEINES-QOL were compared.
Results: No floor or ceiling effects were observed for VEINES-QOL items, item-item correlations were weak to moderate, item-score correlations were moderate. Internal reliability was good. The VEINES-Sym subscale was confirmed by factor analysis. Test-retest reliability was satisfactory for the scale scores; individual items showed moderate to good agreement. Relationships with SF-12, pain, and the quality items confirmed construct validity. Participants whose ulcers had healed showed greater mean increase in scores than did those yet to heal, though they continued to report leg problems. An intrinsic scoring method appeared superior to the original relative method.
Conclusions: VEINES-QOL was suitable for use in the study of venous leg ulcers. The intrinsic scoring method should be adopted, to facilitate comparisons between studies.
Trial registration: VenUS IV is registered with the ISRCTN register, number ISRCTN49373072 .
Figures
References
Publication types
MeSH terms
Associated data
Grants and funding
LinkOut - more resources
Full Text Sources
Other Literature Sources
Medical
