Daily intake of fermented milk with Lactobacillus casei strain Shirota reduces the incidence and duration of upper respiratory tract infections in healthy middle-aged office workers
- PMID: 26419583
- PMCID: PMC5290054
- DOI: 10.1007/s00394-015-1056-1
Daily intake of fermented milk with Lactobacillus casei strain Shirota reduces the incidence and duration of upper respiratory tract infections in healthy middle-aged office workers
Abstract
Purpose: Although several studies have demonstrated the efficacy of probiotics for preventing upper respiratory tract infections (URTIs) in at-risk populations, including children and the elderly, few studies have investigated the efficacy of probiotics in healthy adults living normal, everyday lives. Thus, we tried to evaluate the effects of Lactobacillus casei strain Shirota-fermented milk (LcS-FM) on the incidence of URTIs in healthy middle-aged office workers.
Methods: In a randomized controlled trial, 96 eligible male workers aged 30-49 years consumed LcS-FM containing 1.0 × 1011 viable LcS cells or control milk (CM) once daily for 12 weeks during the winter season. URTI episodes were evaluated by a physician via a questionnaire of URTI symptoms.
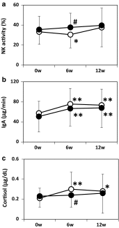
Results: The incidence of URTIs during the intervention period was significantly lower in the LcS-FM group than in the CM group (22.4 vs. 53.2 %, P = 0.002). The time-to-event analysis showed that the LcS-FM group had a significantly higher URTI-free rate than the CM group over the test period (log-rank test: χ 2 11.25, P = 0.0008). The cumulative number of URTI episodes and cumulative days with URTI symptoms per person was lower in the LcS-FM group, and the duration per episode was shorter. Inhibition of both reductions in NK cell activity in peripheral blood mononuclear cells and increases in salivary cortisol levels was observed in the LcS-FM group.
Conclusion: The results suggest that the daily intake of fermented milk with LcS may reduce the risk of URTIs in healthy middle-aged office workers, probably through modulation of the immune system.
Keywords: Common cold; Cortisol; Lactobacillus casei strain Shirota; NK cell activity; Probiotics; Upper respiratory tract infection.
Conflict of interest statement
All of the authors are employed by the Yakult Honsha, which produces fermented dairy products using the probiotic strain LcS.
Figures
References
Publication types
MeSH terms
Substances
LinkOut - more resources
Full Text Sources
Other Literature Sources
