Metabolic and endocrine profiles and hepatic gene expression of Holstein cows fed total mixed ration or pasture with different grazing strategies during early lactation
- PMID: 26475473
- PMCID: PMC4609040
- DOI: 10.1186/s13028-015-0163-6
Metabolic and endocrine profiles and hepatic gene expression of Holstein cows fed total mixed ration or pasture with different grazing strategies during early lactation
Abstract
Background: In dairy mixed production systems, maximizing pasture intake and total mixed ration (TMR) supplementation are management tools used to increase dry matter and energy intake in early lactation. The objective was to evaluate metabolic and endocrine profiles and hepatic gene expression of Holstein cows fed either TMR ad libitum (without grazing) or diets combining TMR (50 % ad libitum DM intake) and pasture with different grazing strategies (6 h in one grazing session or 9 h in two grazing sessions) in early lactation. Pluriparous cows were grouped by calving date, blocked within group by body weight and body condition score (BCS) and randomly assigned to one of three feeding strategies from calving (day 0) to 60 days postpartum: control cows fed TMR ad libitum (G0; confined cows fed 100 % TMR without access to pasture), pasture grazing with 6 h of access in one session supplemented with 50 % TMR (G1), and 9 h of access in two sessions supplemented with 50 % TMR (G2).
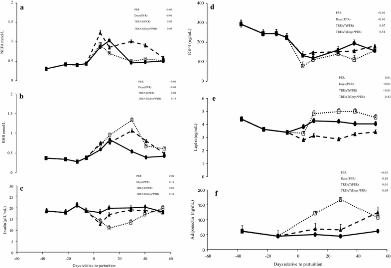
Results: Net energy (NE), but not metabolizable protein (MP), demands for maintenance and/or milk increased in G2 when compared with G1 and G0 cows, respectively. However, NE and MP balances were lower in G1 and G2 than G0 cows. Cow BCS at +55 days was greater in G0 than G2 cows and probability of cows cycling during the first month was greater in G0 and G1 than G2 cows. During the postpartum period, non-esterified fatty acids were greater in G1 than G2 and G0 and β-hydroxybutyrate was greater in G1 and G2 than G0 cows. Plasma insulin was greater and insulin-like growth factor (IGF)-I tended to be greater in G0 than G2 cows, leptin was greater in G2 and G0 and adiponectin were greater in G2 cows. Hepatic expression of growth hormonereceptor-1A and IGF1 mRNA decreased while IGF binding proteins 1,2,4,5 and 6 (IGFBP) mRNA as well as mRNA expression of insulin, leptin (LEPRb) and adiponectin-2 receptors increased from pre to postpartum in all cows. However, only hepatic IGFBP6 and LEPRb mRNA were greater in G2 than G0 and G1 cows, respectively.
Conclusion: Metabolic-endocrine profiles of cows with different feeding strategies in early lactation reflected not only changes in milk energy output and energy balance but also in walking and grazing activity. Concentrations of insulin and IGF-I were increased in G0 cows whereas plasma adiponectin and both, insulin and leptin sensitivity were improved G2 cows. Increased NE demands in G2 cows when compared to G1 and G0 cows, implied a metabolic stress that impacted negatively on reproductive function.
Figures


References
-
- Dillon P. Achieving high dry-matter intake from pasture with grazing dairy cow. In: Elgersma A, Dijkstra J, Tamminga S, editors. Fresh herbage for dairy cattle. Heidelberg: Springer-Verlag; 2006. pp. 1–26.
-
- Bauman DE. Regulation of nutrient partitioning during lactation: homeostasis and homeorhesis revisited. In: Cronje PJ, editor. Ruman physiology: digestion, metabolism and growth and growth and reproduction. New York: CAB Publishing; 2000. pp. 311–327.
MeSH terms
Substances
LinkOut - more resources
Full Text Sources
Other Literature Sources
Medical
Miscellaneous