Required duration of mass ivermectin treatment for onchocerciasis elimination in Africa: a comparative modelling analysis
- PMID: 26489937
- PMCID: PMC4618738
- DOI: 10.1186/s13071-015-1159-9
Required duration of mass ivermectin treatment for onchocerciasis elimination in Africa: a comparative modelling analysis
Abstract
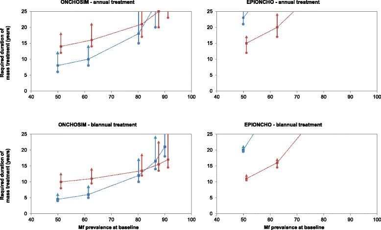
Background: The World Health Organization (WHO) has set ambitious targets for the elimination of onchocerciasis by 2020-2025 through mass ivermectin treatment. Two different mathematical models have assessed the feasibility of reaching this goal for different settings and treatment scenarios, namely the individual-based microsimulation model ONCHOSIM and the population-based deterministic model EPIONCHO. In this study, we harmonize some crucial assumptions and compare model predictions on common outputs.
Methods: Using a range of initial endemicity levels and treatment scenarios, we compared the models with respect to the following outcomes: 1) model-predicted trends in microfilarial (mf) prevalence and mean mf intensity during 25 years of (annual or biannual) mass ivermectin treatment; 2) treatment duration needed to bring mf prevalence below a provisional operational threshold for treatment interruption (pOTTIS, i.e. 1.4 %), and 3) treatment duration needed to drive the parasite population to local elimination, even in the absence of further interventions. Local elimination was judged by stochastic fade-out in ONCHOSIM and by reaching transmission breakpoints in EPIONCHO.
Results: ONCHOSIM and EPIONCHO both predicted that in mesoendemic areas the pOTTIS can be reached with annual treatment, but that this strategy may be insufficient in very highly hyperendemic areas or would require prolonged continuation of treatment. For the lower endemicity levels explored, ONCHOSIM predicted that the time needed to reach the pOTTIS is longer than that needed to drive the parasite population to elimination, whereas for the higher endemicity levels the opposite was true. In EPIONCHO, the pOTTIS was reached consistently sooner than the breakpoint.
Conclusions: The operational thresholds proposed by APOC may have to be adjusted to adequately reflect differences in pre-control endemicities. Further comparative modelling work will be conducted to better understand the main causes of differences in model-predicted trends. This is a pre-requisite for guiding elimination programmes in Africa and refining operational criteria for stopping mass treatment.
Figures




References
-
- Rodriguez-Pérez MA, Lutzow-Steiner MA, Segura-Cabrera A, Lizarazo-Ortega C, Dominguez-Vazquez A, Sauerbrey M, et al. Rapid suppression of Onchocerca volvulus transmission in two communities of the Southern Chiapas focus, Mexico, achieved by quarterly treatments with Mectizan. Am J Trop Med Hyg. 2008;79(2):239–244. - PMC - PubMed
-
- Progress towards eliminating onchocerciasis in the WHO Region of the Americas verification by WHO of elimination of transmission in Colombia. Wkly Epidemiol Rec. 2013;88(36):381–385. - PubMed
Publication types
MeSH terms
Substances
Grants and funding
LinkOut - more resources
Full Text Sources
Other Literature Sources