Comparison of i-gel® and LMA Supreme® during laparoscopic cholecystectomy
- PMID: 26495055
- PMCID: PMC4610924
- DOI: 10.4097/kjae.2015.68.5.455
Comparison of i-gel® and LMA Supreme® during laparoscopic cholecystectomy
Abstract
Background: In laparoscopic surgical procedures, many clinicians recommend supraglottic airway devices as good alternatives to intubation. We compared the i-gel® (i-gel) and LMA Supreme® (Supreme Laryngeal Mask Airway, SLMA) airway devices during laparoscopic cholecystectomy regarding sealing pressure and respiratory parameters before, during, and after pneumoperitoneum.
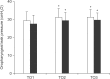
Methods: Following Institutional Review Board approval and written informed consent, 93 patients were randomly allocated into the i-gel (n = 47) or SLMA group (n = 46). Insertion time, number of insertion attempts, and fiberoptic view of glottis were recorded. Oropharyngeal leak pressure (OLP), the use of airway manipulation, peak inspiratory pressure, lung compliance, and hemodynamic parameters were measured before, during, and after pneumoperitoneum.
Results: There were no significant differences between the two groups regarding demographic data, insertion time, fiberoptic view of glottis, and the use of airway manipulation. The gastric tube insertion time was longer in the i-gel group (20.4 ± 3.9 s) than in the SLMA group (16.7 ± 1.6 s) (P < 0.001). All devices were inserted on the first attempt, excluding one case in each group. Peak inspiratory pressure, lung compliance, and OLP changed following carbon dioxide pneumoperitoneum in each group, but there were no significant differences between the groups.
Conclusions: Both the i-gel and SLMA airway devices can be comparably used in patients who undergo laparoscopic cholecystectomy, and they offer similar performance including OLP.
Keywords: I-gel; Laparoscopic cholecystectomy; Supreme laryngeal mask airway.
Figures




References
-
- Uppal V, Gangaiah S, Fletcher G, Kinsella J. Randomized crossover comparison between the i-gel and the LMA-Unique in anaesthetized, paralysed adults. Br J Anaesth. 2009;103:882–885. - PubMed
-
- Francksen H, Renner J, Hanss R, Scholz J, Doerges V, Bein B. A comparison of the i-gel with the LMA-Unique in non-paralysed anaesthetised adult patients. Anaesthesia. 2009;64:1118–1124. - PubMed
-
- Uppal V, Fletcher G, Kinsella J. Comparison of the i-gel with the cuffed tracheal tube during pressure-controlled ventilation. Br J Anaesth. 2009;102:264–268. - PubMed
LinkOut - more resources
Full Text Sources
Other Literature Sources
Medical