Trait correlates of distribution trends in the Odonata of Britain and Ireland
- PMID: 26618083
- PMCID: PMC4655099
- DOI: 10.7717/peerj.1410
Trait correlates of distribution trends in the Odonata of Britain and Ireland
Abstract
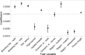
A major challenge in ecology is understanding why certain species persist, while others decline, in response to environmental change. Trait-based comparative analyses are useful in this regard as they can help identify the key drivers of decline, and highlight traits that promote resistance to change. Despite their popularity trait-based comparative analyses tend to focus on explaining variation in range shift and extinction risk, seldom being applied to actual measures of species decline. Furthermore they have tended to be taxonomically restricted to birds, mammals, plants and butterflies. Here we utilise a novel approach to estimate occurrence trends for the Odonata in Britain and Ireland, and examine trait correlates of these trends using a recently available trait dataset. We found the dragonfly fauna in Britain and Ireland has undergone considerable change between 1980 and 2012, with 22 and 53% of species declining and increasing, respectively. Distribution region, habitat specialism and range size were the key traits associated with these trends, where habitat generalists that occupy southern Britain tend to have increased in comparison to the declining narrow-ranged specialist species. In combination with previous evidence, we conclude that the lower trend estimates for the narrow-ranged specialists could be a sign of biotic homogenization with ecological specialists being replaced by warm-adapted generalists.
Keywords: Climate change; Comparative analysis; Dragonfly; Range change; Species characteristics.
Conflict of interest statement
Gary D. Powney and Nick J.B. Isaac are employees of NERC Centre for Ecology & Hydrology. Steve Cham and Dave Smallshire are members of the British Dragonfly Society.
Figures
References
-
- Ball-Damerow JE, M’Gonigle LK, Resh VH. Changes in occurrence, richness, and biological traits of dragonflies and damselflies (Odonata) in California and Nevada over the past century. Biodiversity and Conservation. 2014;23:2107–2126. doi: 10.1007/s10531-014-0707-5. - DOI
-
- Biesmeijer JC, Roberts SPM, Reemer M, Ohlemüller R, Edwards M, Peeters T, Schaffers AP, Potts SG, Kleukers R, Thomas CD, Settele J, Kunin WE. Parallel declines in pollinators and insect-pollinated plants in Britain and the Netherlands. Science. 2006;313:351–354. doi: 10.1126/science.1127863. - DOI - PubMed
-
- Botts EA, Erasmus BFN, Alexander GJ. Small range size and narrow niche breadth predict range contractions in South African frogs. Global Ecology and Biogeography. 2012;22:567–576. doi: 10.1111/geb.12027. - DOI
LinkOut - more resources
Full Text Sources
Other Literature Sources
