Autism spectrum disorder in tuberous sclerosis complex: searching for risk markers
- PMID: 26631248
- PMCID: PMC4668631
- DOI: 10.1186/s13023-015-0371-1
Autism spectrum disorder in tuberous sclerosis complex: searching for risk markers
Abstract
Background: Neuropsychiatric disorders are present in up to 90% of patients with Tuberous Sclerosis Complex (TSC), and represent an important issue for families. Autism Spectrum Disorder (ASD) is the most common neurobehavioral disease, affecting up to 61% of patients. The aims of this study were: 1) to assess the prevalence of ASD in a TSC population; 2) to describe the severity of ASD; 3) to identify potential risk factors associated with the development of ASD in TSC patients.
Methods: We selected 42 individuals over age 4 years with a definite diagnosis of TSC and followed at a TSC clinic in Northern Italy. We collected and reported clinical and genetic data, as well as cognitive level, for each of them. We administered the Social Communication Questionnaire (SCQ) as a reliable screening tool for ASD, and performed comparisons between the average scores and each clinical and genetic feature.
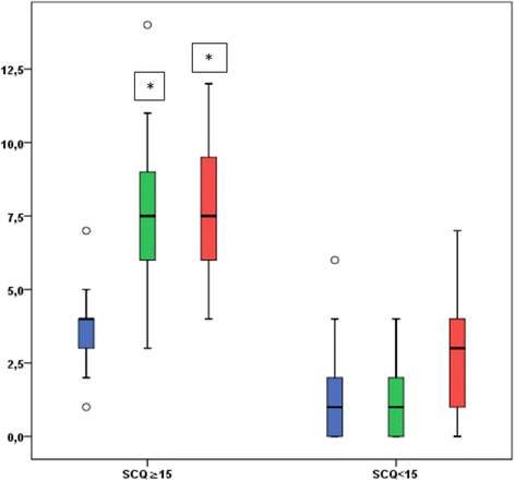
Results: Seventeen out of 42 patients (40.5%) had a score at the SCQ suggestive of ASD (≥15 points). When calculated for each cognitive level category, the average SCQ score tended to be progressively higher in patients with a worse cognitive level, and the number of pathological SCQ scores increased with worsening of intellectual disability. With respect to ASD severity, the scores were equally distributed, indicating that the degree of ASD in TSC patients may have a large variability. By comparing the average SCQ scores with the clinical features, we found statistically significant correlations with epilepsy, seizure onset before age one year, spasms, mutations in TSC2, cognitive level, sleep disorders, and other psychiatric problems, but not with seizure frequency, tubers localization and gender.
Conclusions: Our study showed a prevalence of ASD of 40.5%, confirming the higher risk for this disorder in patients with TSC. However, the severity seems to have a notable variability in TSC patients. Risk factors for ASD are epilepsy, infantile spams, and mutations in TSC2.
Figures



References
-
- Krueger D, Northrup H, on behalf of the International Tuberous Sclerosis Complex Consensus Group Tuberous Sclerosis Complex Surveillance and Management: Recommendations of the 2012 International Tuberous Sclerosis Complex Consensus Conference. Pediatric Neurology. 2013;49:255–265. doi: 10.1016/j.pediatrneurol.2013.08.002. - DOI - PMC - PubMed
Publication types
MeSH terms
Substances
LinkOut - more resources
Full Text Sources
Other Literature Sources
Medical