The long-term effect of being treated in a geriatric ward compared to an orthopaedic ward on six measures of free-living physical behavior 4 and 12 months after a hip fracture - a randomised controlled trial
- PMID: 26637222
- PMCID: PMC4670513
- DOI: 10.1186/s12877-015-0153-6
The long-term effect of being treated in a geriatric ward compared to an orthopaedic ward on six measures of free-living physical behavior 4 and 12 months after a hip fracture - a randomised controlled trial
Abstract
Background: This study is part of the Trondheim Hip Fracture Trial, where we compared free-living physical behavior in daily life 4 and 12 months following hip surgery for patients managed with comprehensive geriatric care (CGC) in a geriatric ward with those managed with orthopedic care (OC) in an orthopedic ward.
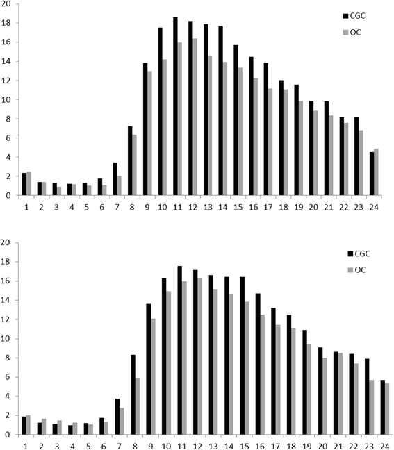
Methods: This is a single centre, prospective, randomized controlled trial. 397 hip fracture patients were randomized to CGC (n = 199) or OC (n = 198) in the Emergency Department with follow-up assessments performed four and 12 months post-surgery. Outcomes were mean upright time, number and length of upright events recorded continuously for four days at four and 12 months post-surgery by an accelerometer-based activity monitor. Missing data were handled by multiple imputation and group differences assessed by linear regression with adjustments for gender, age and fracture type.
Results: There were no group differences in participants' pre-fracture characteristics. Estimated group difference in favor of CGC in upright time at 4 months was 34.6 min (17.4 %, CI 9.6 to 59.6, p = .007) and at 12 months, 27.7 min (13.9 %, CI 3.5 to 51.8, p = .025). Average and maximum length of upright events was longer in the CGC (p's < .042). No group difference was found for number of upright events (p's > .452).
Conclusion: Participants treated with CGC during the hospital stay improved free-living physical behavior more than those treated with OC both 4 and 12 months after surgery, with more time and longer periods spent in upright. Results support findings from the same study for functional outcomes, and demonstrate that CGC impacts daily life as long as one year after surgery.
Trials registration: ClinicalTrials.gov, NCT00667914 , April 18, 2008.
Figures


References
-
- Mak JC, Cameron ID, March LM, National H. Medical Research C Evidence-based guidelines for the management of hip fractures in older persons: an update. Med J Aust. 2010;192(1):37–41. - PubMed
Publication types
MeSH terms
Associated data
LinkOut - more resources
Full Text Sources
Other Literature Sources
Medical
Miscellaneous