Timing of malaria in pregnancy and impact on infant growth and morbidity: a cohort study in Uganda
- PMID: 26879849
- PMCID: PMC4754923
- DOI: 10.1186/s12936-016-1135-7
Timing of malaria in pregnancy and impact on infant growth and morbidity: a cohort study in Uganda
Abstract
Background: Malaria in pregnancy (MiP) is a major cause of fetal growth restriction and low birth weight in endemic areas of sub-Saharan Africa. Understanding of the impact of MiP on infant growth and infant risk of malaria or morbidity is poorly characterized. The objective of this study was to describe the impact of MIP on subsequent infant growth, malaria and morbidity.
Methods: Between 2006 and 2009, 82 % (832/1018) of pregnant women with live-born singletons and ultrasound determined gestational age were enrolled in a prospective cohort with active weekly screening and treatment for malaria. Infants were followed monthly for growth and morbidity and received active monthly screening and treatment for malaria during their first year of life. Multivariate analyses were performed to analyse the association between malaria exposure during pregnancy and infants' growth, malaria infections, diarrhoea episodes and acute respiratory infections.
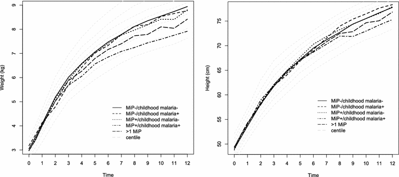
Results: Median time of infant follow-up was 12 months and infants born to a mother who had MiP were at increased risk of impaired height and weight gain (-2.71 cm, 95 % CI -4.17 to -1.25 and -0.42 kg, 95 % CI -0.76 to -0.08 at 12 months for >1 MiP compared to no MiP) and of malaria infection (relative risk 10.42, 95 % CI 2.64-41.10 for infants born to mothers with placental malaria). The risks of infant growth restriction and infant malaria infection were maximal when maternal malaria occurred in the 12 weeks prior to delivery. Recurrent MiP was also associated with acute respiratory infection (RR 1.96, 95 % CI 1.25-3.06) and diarrhoea during infancy (RR 1.93, 95 % CI 1.02-3.66).
Conclusion: This study shows that despite frequent active screening and prompt treatment of MiP, impaired growth and an increased risk of malaria and non-malaria infections can be observed in the infants. Effective preventive measures in pregnancy remain a research priority. This study was registered with ClinicalTrials.gov, number NCT00495508.
Figures



References
-
- Steketee RW, Nahlen BL, Parise ME, Menendez C. The burden of malaria in pregnancy in malaria-endemic areas. Am J Trop Med Hyg. 2001;64:28–35. - PubMed
Publication types
MeSH terms
Associated data
LinkOut - more resources
Full Text Sources
Other Literature Sources
Medical