Incidence of venous thromboembolism in France: a retrospective analysis of a national insurance claims database
- PMID: 26900350
- PMCID: PMC4761165
- DOI: 10.1186/s12959-016-0078-0
Incidence of venous thromboembolism in France: a retrospective analysis of a national insurance claims database
Abstract
Background: Data estimating the annual incidence of venous thromboembolism (VTE) in France, taking into account both hospital and community settings, are very lacking. This study aimed to estimate the annual incidence of VTE (pulmonary embolism (PE) and deep vein thrombosis (DVT)) in France in 2011 in "real world" population.
Methods: This was a longitudinal insurance claims study of the incidence of VTE in France over 2 years (2010 and 2011). The data analysis was performed using the EGB (Echantillon Généraliste des Bénéficiaires) database, a randomly selected sample of the French national insurance database (CNAMTS) which covers 77 % of the population. All adult patients experiencing a VTE event during the study period were analysed. Recurrence rate of VTE and all-cause mortality rate were also estimated over a 12-month follow-up period.
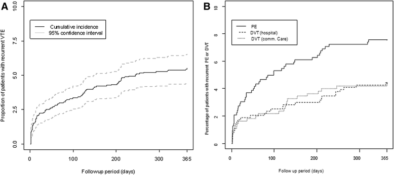
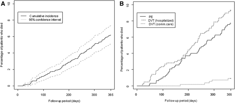
Results: The estimated annual incidence of VTE in France was 184.0 per 100 000 subjects, corresponding to a total of 119 670 events countrywide. The estimated incidence of DVT and PE were respectively 119.8 and 64.2 per 100 000 subjects. Annual recurrence of VTE was reported in 5.5 % (n = 99) patients, with a significantly higher recurrence rate in patients with PE than those with DVT (p = 0.02). Overall, 6.2 % (n = 112) of patients had died over the 12-month follow-up (respectively 10.2 and 7.7 % of patients with DVT and PE).
Discussion: To our knowledge, this analysis is the first to estimate the annual incidence of VTE in France using exhaustive data from the EGB database. This has allowed the incidence of DVT in the community to be documented, which to date has not been characterised. Previous studies in France have been limited to the hospital setting and have yielded incidence rates comparable to ours.
Conclusions: This analysis is the first to estimate the annual incidence of VTE in France using exhaustive data from the EGB database. This study showed that the incidence and the burden of the disease remains elevated.
Keywords: Deep vein thrombosis; France; Incidence; Pulmonary embolism; Recurrence.
Figures



References
-
- Pendleton R, Wheeler M, Rodgers G. Venous thromboembolism prevention in the acutely III medical patient : A review of the literature and focus on special patient populations, vol. 79. New York, NY, ETATS-UNIS: Wiley-Liss; 2005. - PubMed
-
- Anderson FA, Jr, Wheeler HB, Goldberg RJ, Hosmer DW, Patwardhan NA, Jovanovic B, et al. A population-based perspective of the hospital incidence and case-fatality rates of deep vein thrombosis and pulmonary embolism. The Worcester DVT Study. Arch Intern Med. 1991;151(5):933–938. doi: 10.1001/archinte.1991.00400050081016. - DOI - PubMed
-
- Nicolaides A, Breddin K, Carpentier P, Coccheri S, Conard J, De Stefano V, et al. Prevention and treatment of venous thromboembolism. International Consensus Statement (guidelines according to scientific evidence) Int Angiol. 2006;25(2):101–161. - PubMed
LinkOut - more resources
Full Text Sources
Other Literature Sources