Drinking to ease the burden: a cross-sectional study on trauma, alcohol abuse and psychopathology in a post-conflict context
- PMID: 27342048
- PMCID: PMC4921056
- DOI: 10.1186/s12888-016-0905-7
Drinking to ease the burden: a cross-sectional study on trauma, alcohol abuse and psychopathology in a post-conflict context
Abstract
Background: It is likely that alcohol use and abuse increase during and after violent conflicts. The most prominent explanation of this phenomenon has been referred to as self-medication hypothesis. It predicts that psychotropic substances are consumed to deal with conflict-related psychic strains and trauma. In northern Uganda, a region that has been affected by a devastating civil war and is characterized by high levels of alcohol abuse we examined the associations between war-trauma, childhood maltreatment and problems related to alcohol use. Deducing from the self-medication hypothesis we assumed alcohol consumption moderates the relationship between trauma-exposure and psychopathology.
Methods: A cross-sectional epidemiological survey targeting war-affected families in post-conflict northern Uganda included data of male (n = 304) and female (n = 365) guardians. We used standardized questionnaires in an interview format to collect data on the guardians' socio-demography, trauma-exposure, alcohol consumption and symptoms of alcohol abuse, PTSD and depression.
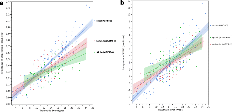
Results: Symptoms of current alcohol use disorders were present in 46 % of the male and 1 % of the female respondents. A multiple regression model revealed the unique contributions of emotional abuse in the families of origin and trauma experienced outside the family-context in the prediction of men's alcohol-related symptoms. We found that alcohol consumption moderated the dose-effect relationship between trauma-exposure and symptoms of depression and PTSD. Significant interactions indicated that men who reported more alcohol-related problems experienced less increase in symptoms of PTSD and depression with increasing trauma-exposure.
Conclusions: The gradual attenuation of the dose-effect the more alcohol-related problems were reported is consistent with the self-medication hypothesis. Hence, the functionality of alcohol consumption has to be considered when designing and implementing addiction treatment in post-conflict contexts.
Keywords: Addiction; Alcohol; Conflict; Depression; Mental health; PTSD; Self-medication; Substance abuse; Trauma; War.
Figures


References
MeSH terms
Substances
LinkOut - more resources
Full Text Sources
Other Literature Sources
Medical