Neurocognitive outcome in tyrosinemia type 1 patients compared to healthy controls
- PMID: 27356512
- PMCID: PMC4928338
- DOI: 10.1186/s13023-016-0472-5
Neurocognitive outcome in tyrosinemia type 1 patients compared to healthy controls
Abstract
Background: Hereditary Tyrosinemia type 1 (HT1) is a rare metabolic disorder caused by a defect in the enzyme Fumarylacetoacetate Hydrolase. Due to this defect, toxic products accumulate which, in turn, cause liver and kidney dysfunction. Treatment with 2-(2-nitro-4-trifluoromethylbenoyl)-1,3-cyclohexanedione (NTBC) and diet has diminished these problems, but recent data indicate that HT1 patients have neurocognitive problems. However, the neuropsychological profile of these patients is unknown. Therefore, this study aimed to investigate this neuropsychological profile by comparing HT1 patients with healthy controls.
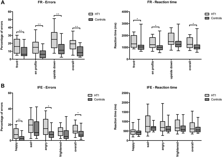
Methods: Neurocognitive testing was performed in a heterogeneous group of 19 NTBC and dietary treated HT1 patients (five female, fourteen male; mean age 12.9 ± 4.8 years; range 7.9-23.6 years) and 19 age and gender matched controls (five female, fourteen male; mean age 13.2 ± 4.6 years; range 8.1-24.8 years). IQ scores were estimated and all participants performed the Amsterdam Neuropsychological Tasks, measuring executive functions (inhibition, cognitive flexibility and working memory) and social cognition (face recognition and identification of facial emotions).
Results: HT1 patients showed poorer estimated IQ, executive functioning (working memory and cognitive flexibility), and social cognition compared to healthy controls. Lower IQ scores in HT1 patients were mostly unrelated to scores on executive function- and social cognition tasks and therefore did not account for group differences in these domains. Further analyses within the HT1 patient group (comparing different groups of patients based on the age at diagnosis and the clinical symptoms at diagnosis) did not reveal any significant results. The duration of NTBC treatment was negatively correlated with IQ.
Conclusions: Despite the heterogeneity of the patient group, these data clearly show that IQ, executive functioning and social cognition are affected in HT1 patients, and that IQ screening is not sufficient for cognitive monitoring of these patients. Further research should focus on the underlying pathophysiological mechanisms of these impairments to consequently try to improve treatment strategies.
Keywords: EF; Executive functions; IQ; NTBC; Neurocognitive outcome; Social cognition; Tyrosinemia type 1; Working memory.
Figures



References
-
- van Spronsen FJ, Bijleveld CM, van Maldegem BT, Wijburg FA. Hepatocellular carcinoma in hereditary tyrosinemia type I despite 2-(2 nitro-4-3 trifluoro- methylbenzoyl)-1, 3-cyclohexanedione treatment. J Pediatr Gastroenterol Nutr. 2005;40(1):90–93. doi: 10.1097/00005176-200501000-00017. - DOI - PubMed
MeSH terms
LinkOut - more resources
Full Text Sources
Other Literature Sources