Cross-sectional survey in CKD patients across Europe describing the association between quality of life and anaemia
- PMID: 27460779
- PMCID: PMC4962379
- DOI: 10.1186/s12882-016-0312-9
Cross-sectional survey in CKD patients across Europe describing the association between quality of life and anaemia
Abstract
Background: Deteriorating renal function in chronic kidney disease (CKD) patients is commonly associated with reduced haemoglobin levels, adding to the already considerable humanistic burden of CKD. This analysis evaluated the impact of anaemia on disease burden in patients with CKD stages 3-4, and in those on dialysis.
Methods: This was a descriptive, cross-sectional analysis of European data from an Adelphi CKD Disease-Specific Programme. This programme collected data from patients and their treating nephrologists/endocrinologists; patient- and physician-reported data were matched for each patient. Health-related quality of life (HRQoL) data were obtained through patient completion of the EQ-5D, SF-12 and KDQOL-36. Additional information was obtained via physician reporting of patient symptoms, and patients' reports of impaired activity. Anaemia was defined by haemoglobin level and/or current use of erythropoiesis stimulating agents.
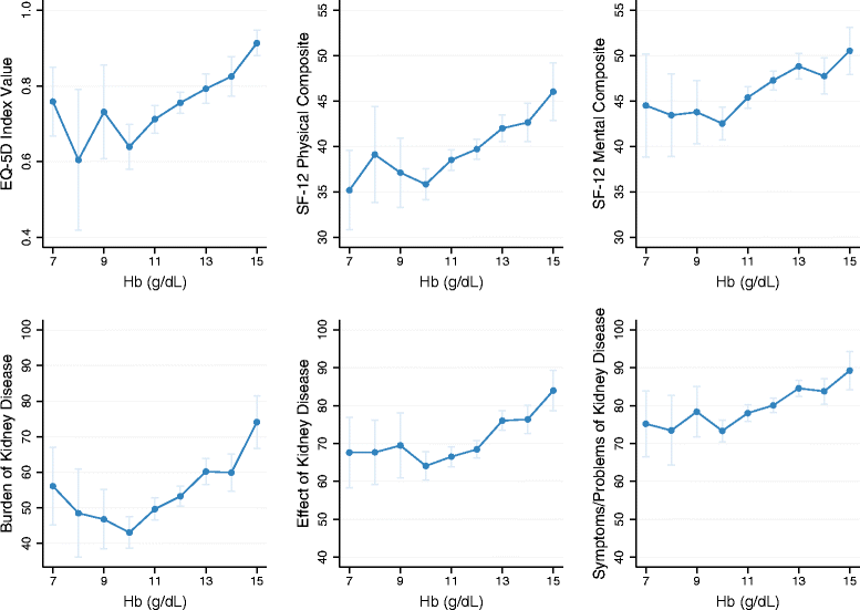
Results: Significant, but modest Spearman's rank correlations were observed between haemoglobin levels and extent of HRQoL impairment, regardless of instrument used (range 0.19-0.23; all P-values < 0.0001). When stratified by anaemia status, impairment was consistently lower for anaemic than non-anaemic CKD patients across measurement scales (e.g. EQ-5D index value [standard deviation {SD}] 0.72 [0.31] vs 0.83 [0.23], respectively; P < 0.0001). Physician-reported patient tiredness was associated with increased disease burden at all levels of CKD studied (total EQ-5D index value [SD] in patients reporting no tiredness vs tiredness 0.81 [0.26] vs 0.70 [0.30] respectively; P < 0.0001) with P < 0.0001 for no tiredness vs tiredness at all stages of CKD. The presence of anaemia was associated with impaired activity levels at CKD stages 3 (37.5 % vs 28.4 %, respectively; P = 0.0044) and 4 (48.1 % vs 39.9 %, respectively; P = 0.0292), and in patients on dialysis (52.0 % vs 45.0 %, respectively; P = 0.0732).
Conclusions: The analysis found that CKD patients with anaemia typically had a lower HRQoL than those without anaemia. The impairment correlated with anaemia was more apparent in non-dialysis patients with CKD stages 3 or 4 than in those receiving dialysis. Coexisting CKD and anaemia may have an impact on patient HRQoL similar to other chronic conditions such as diabetes, epilepsy or certain forms of cancer.
Keywords: Anaemia; Chronic kidney disease; EQ-5D; Fatigue; KDQOL-36; Quality of life; SF-12; Utility.
Figures
References
-
- KDIGO. Clinical Practice Guideline for the Evaluation and Management of Chronic Kidney Disease. Kidney Int 2013;3(1):1–150. Available from URL: http://www.kdigo.org/clinical_practice_guidelines/pdf/CKD/KDIGO_2012_CKD.... Accessed 20 Jul 2016. - PubMed
Publication types
MeSH terms
Substances
LinkOut - more resources
Full Text Sources
Other Literature Sources
Medical
