Better survival in right-sided versus left-sided stage I - III colon cancer patients
- PMID: 27464835
- PMCID: PMC4964057
- DOI: 10.1186/s12885-016-2412-0
Better survival in right-sided versus left-sided stage I - III colon cancer patients
Abstract
Background: The distinction between right-sided and left-sided colon cancer has recently received considerable attention due to differences regarding underlying genetic mutations. There is an ongoing debate if right- versus left-sided tumor location itself represents an independent prognostic factor. We aimed to investigate this question by using propensity score matching.
Methods: Patients with resected, stage I - III colon cancer were identified from the Surveillance, Epidemiology, and End Results (SEER) database (2004-2012). Both univariable and multivariable Cox regression as well as propensity score matching were used.
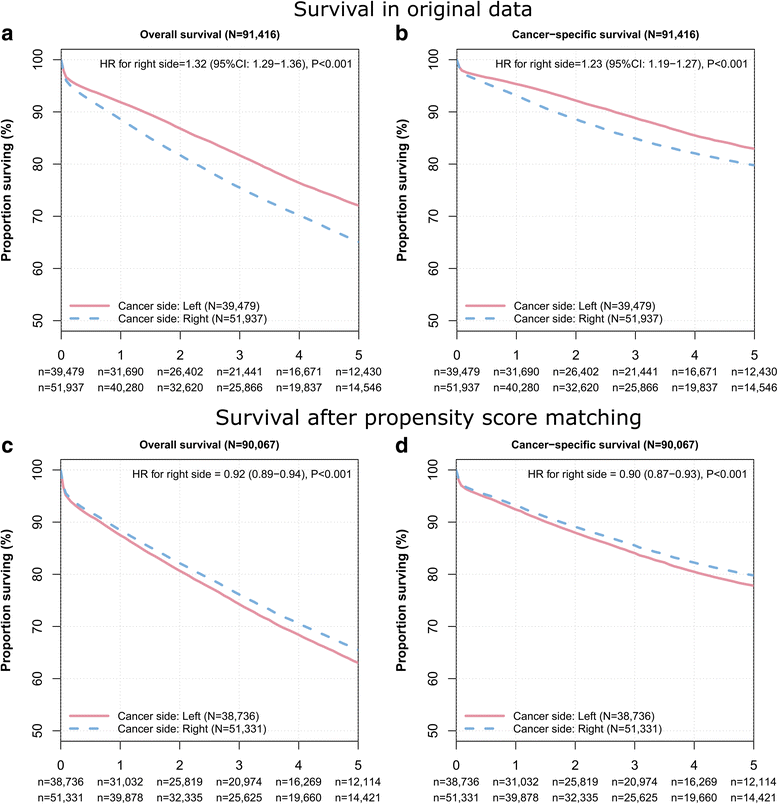
Results: Overall, 91,416 patients (51,937 [56.8 %] with right-sided, 39,479 [43.2 %] with left-sided colon cancer; median follow-up 38 months) were eligible. In univariable analysis, patients with right-sided cancer had worse overall (hazard ratio [HR] = 1.32, 95 % CI:1.29-1.36, P < 0.001) and cancer-specific survival (HR = 1.26, 95 % CI:1.21-1.30, P < 0.001) compared to patients with left-sided cancer. After propensity score matching, the prognosis of right-sided carcinomas was better regarding overall (HR = 0.92, 95 % CI: 0.89 - 0.94, P < 0.001) and cancer-specific survival (HR = 0.90, 95 % CI:0.87 - 0.93, P < 0.001). In stage I and II, the prognosis of right-sided cancer was better for overall (HR = 0.89, 95 % CI:0.84-0.94 and HR = 0.85, 95 % CI:0.81-0.89) and cancer-specific survival (HR = 0.71, 95 % CI:0.64 - 0.79 and HR = 0.75, 95 % CI:0.70-0.80). Right- and left-sided colon cancer had a similar prognosis for stage III (overall: HR = 0.99, 95 % CI:0.95-1.03 and cancer-specific: HR = 1.04, 95 % CI:0.99-1.09).
Conclusions: This population-based analysis on stage I - III colon cancer provides evidence that the prognosis of localized right-sided colon cancer is better compared to left-sided colon cancer. This questions the paradigm from previous research claiming a worse survival in right-sided colon cancer patients.
Keywords: Colon cancer; Left-sided; Right-sided; SEER; Survival.
Figures
References
-
- Hansen IO, Jess P. Possible better long-term survival in left versus right-sided colon cancer - a systematic review. Dan Med J. 2012;59:A4444. - PubMed
MeSH terms
LinkOut - more resources
Full Text Sources
Other Literature Sources
