Optimizing Silicon Oxide Embedded Silicon Nanocrystal Inter-particle Distances
- PMID: 27492439
- PMCID: PMC4974215
- DOI: 10.1186/s11671-016-1567-6
Optimizing Silicon Oxide Embedded Silicon Nanocrystal Inter-particle Distances
Abstract
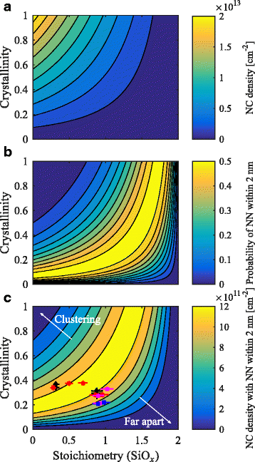
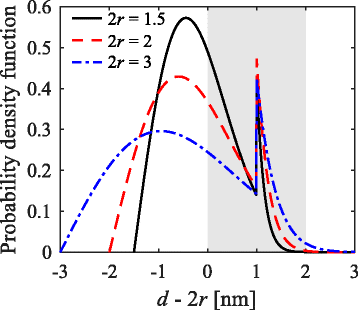
We demonstrate an analytical method to optimize the stoichiometry and thickness of multilayer silicon oxide films in order to achieve the highest density of non-touching and closely spaced silicon nanocrystals after annealing. The probability of a nanocrystal nearest-neighbor distance within a limited range is calculated using the stoichiometry of the as-deposited film and the crystallinity of the annealed film as input parameters. Multiplying this probability with the nanocrystal density results in the density of non-touching and closely spaced silicon nanocrystals. This method can be used to estimate the best as-deposited stoichiometry in order to achieve optimal nanocrystal density and spacing after a subsequent annealing step.
Keywords: Inter-particle distance; Silicon nanocrystal; Silicon oxide; Spacing; Stoichiometry.
Figures
References
-
- Green MA, Cho EC, Cho Y, Huang Y, Pink E, Trupke T, Lin A, Fangsuwannarak T, Puzzer T, Conibeer G, Corkish R (2005) All-silicon tandem cells based on artificial semiconductor synthesised using silicon quantum dots in a dielectric matrix In: Proceedings of the 20th European Photovoltaic Solar Energy Conference and Exhibition, 3–7.
-
- Heitmann J, Müller F, Zacharias M, Gösele U. Silicon nanocrystals: size matters. Adv Mater. 2005;17(7):795–803. doi: 10.1002/adma.200401126. - DOI
-
- Künle M, Kaltenbach T, Löper P, Hartel A, Janz S, Eibl O, Nickel KG. Si-rich a-SiC:H thin films: structural and optical transformations during thermal annealing. Thin Solid Films. 2010;519(1):151–157. doi: 10.1016/j.tsf.2010.07.085. - DOI
-
- Puthen-Veettil B, Patterson R, König D, Conibeer G, Green MA. The impact of disorder on charge transport in three dimensional quantum dot resonant tunneling structures. J Appl Phys. 2014;116(16):163707. doi: 10.1063/1.4899207. - DOI
-
- Schnabel M, Weiss C, Löper P, Wilshaw PR, Janz S. Self-assembled silicon nanocrystal arrays for photovoltaics. Phys Stat Solidi A. 2015;212(8):1649–1661. doi: 10.1002/pssa.201431764. - DOI
LinkOut - more resources
Full Text Sources
Other Literature Sources
