Trends and area variations in Potentially Preventable Admissions for COPD in Spain (2002-2013): a significant decline and convergence between areas
- PMID: 27507560
- PMCID: PMC4979149
- DOI: 10.1186/s12913-016-1624-y
Trends and area variations in Potentially Preventable Admissions for COPD in Spain (2002-2013): a significant decline and convergence between areas
Abstract
Background: Potentially Preventable Hospitalizations (PPH) are hospital admissions for conditions which are preventable with timely and appropriate outpatient care being Chronic Obstructive Pulmonary Disease (COPD) admissions one of the most relevant PPH. We estimate the population age-sex standardized relative risk of admission for COPD-PPH by year and area of residence in the Spanish National Health System (sNHS) during the period 2002-2013.
Methods: The study was conducted in the 203 Hospital Service Areas of the sNHS, using the 2002 to 2013 hospital admissions for a COPD-PPH condition of patients aged 20 and over. We use conventional small area variation statistics and a Bayesian hierarchical approach to model the different risk structures of dependence in both space and time.
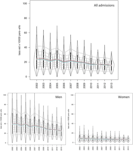
Results: COPD-PPH admissions declined from 24.5 to 15.5 per 10,000 persons-year (Men: from 40.6 to 25.1; Women: from 9.1 to 6.4). The relative risk declined from 1.19 (19 % above 2002-2013 average) in 2002 to 0.77 (30 % below average) in 2013. Both the starting point and the slope were different for the different regions. Variation among admission rates between extreme areas dropped from 6.7 times higher in 2002 to 4.6 times higher in 2013.
Conclusions: COPD-PPH conditions in Spain have undergone a strong decline and a reduction in geographical variation in the last 12 years, suggesting a general improvement in health policies and health care over time. Variability among areas still remains, with a substantial room for improvement.
Keywords: Chronic obstructive pulmonary disease; Hospitalization; Potentially preventable hospitalizations; Small area variation analysis.
Figures




References
-
- Agency for Healthcare Research and Quality. Guide to Prevention Quality Indicators: hospital admission for ambulatory care sensitive conditions (Version 3.1). Agency for Healthcare Research and Quality; 2007. Available at: http://www.qualityindicators.ahrq.gov/Downloads/Modules/PQI/V31/pqi_guid.... Accessed 12 Feb 2015.
-
- Magán P, Alberquilla A, Otero A, Ribera JM. Hospitalizations for ambulatory care sensitive conditions and quality of primary care: their relation with socioeconomic and health care variables in the Madrid regional health service (Spain) Med Care. 2011;49(1):17–23. doi: 10.1097/MLR.0b013e3181ef9d13. - DOI - PubMed
-
- Thygesen LC, Christiansen T, Garcia-Armesto S, Angulo-Pueyo E, Martínez-Lizaga N, Bernal-Delgado E, ECHO Consortium Potentially avoidable hospitalizations in five European countries in 2009 and time trends from 2002 to 2009 based on administrative data. Eur J Public Health. 2015;25(Suppl 1):35–43. doi: 10.1093/eurpub/cku227. - DOI - PubMed
Publication types
MeSH terms
LinkOut - more resources
Full Text Sources
Other Literature Sources
Medical