Neurotransmitters: The Critical Modulators Regulating Gut-Brain Axis
- PMID: 27512962
- PMCID: PMC5772764
- DOI: 10.1002/jcp.25518
Neurotransmitters: The Critical Modulators Regulating Gut-Brain Axis
Abstract
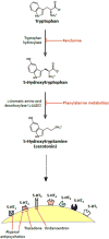
Neurotransmitters, including catecholamines and serotonin, play a crucial role in maintaining homeostasis in the human body. Studies on these neurotransmitters mainly revolved around their role in the "fight or flight" response, transmitting signals across a chemical synapse and modulating blood flow throughout the body. However, recent research has demonstrated that neurotransmitters can play a significant role in the gastrointestinal (GI) physiology. Norepinephrine (NE), epinephrine (E), dopamine (DA), and serotonin have recently been a topic of interest because of their roles in the gut physiology and their potential roles in GI and central nervous system pathophysiology. These neurotransmitters are able to regulate and control not only blood flow, but also affect gut motility, nutrient absorption, GI innate immune system, and the microbiome. Furthermore, in pathological states, such as inflammatory bowel disease (IBD) and Parkinson's disease, the levels of these neurotransmitters are dysregulated, therefore causing a variety of GI symptoms. Research in this field has shown that exogenous manipulation of catecholamine serum concentrations can help in decreasing symptomology and/or disease progression. In this review article, we discuss the current state-of-the-art research and literature regarding the role of neurotransmitters in regulation of normal GI physiology, their impact on several disease processes, and novel work focused on the use of exogenous hormones and/or psychotropic medications to improve disease symptomology. J. Cell. Physiol. 232: 2359-2372, 2017. © 2016 Wiley Periodicals, Inc.
© 2016 Wiley Periodicals, Inc.
Conflict of interest statement
The authors declare no conflicts of interest.
Figures



References
-
- Abrass CK, O’Connor SW, Scarpace PJ, Abrass IB. Characterization of the beta-adrenergic receptor of the rat peritoneal macrophage. J Immunol. 1985;135:1338–1341. - PubMed
-
- Arcaro I, Fischer BL, Lascola KM, Clark-Price SC. Effects of intravenous terbutaline on heart rate, arterial pressure and blood gases in anesthetized horses breathing air. Vet Anaesth Analg. 2016 (In Press) - PubMed
-
- Auteri M, Zizzio MG, Serio R. GABA and GABA receptors in the gastrointestinal tract: from motility to inflammation. Pharmacol Res. 2015;93:11–21. - PubMed
Publication types
MeSH terms
Substances
Grants and funding
LinkOut - more resources
Full Text Sources
Other Literature Sources