A systematic review of the prevalence of sedentary behavior during the after-school period among children aged 5-18 years
- PMID: 27549588
- PMCID: PMC4994288
- DOI: 10.1186/s12966-016-0419-1
A systematic review of the prevalence of sedentary behavior during the after-school period among children aged 5-18 years
Abstract
Background: Independent of physical activity levels, youth sedentary behaviors (SB) have negative health outcomes. SB prevalence estimates during discretionary periods of the day (e.g., after-school), inform the need for targeted period-specific interventions. This systematic review aimed to determine children's and adolescents' SB prevalence during the after-school period.
Methods: A computerized search was conducted in October 2015 (analysed November 2015). Inclusion criteria were: published in a peer-reviewed English journal; participants aged 5-18 years; measured overall after-school sedentary time (ST) objectively, and/or specific after-school SBs (e.g., TV viewing) objectively or subjectively; and provided the percentage of the after-school period spent in ST/SB or duration of behavior and period to calculate this. Where possible, findings were analyzed by location (e.g., after-school care/'other' locations). The PRISMA guidelines were followed.
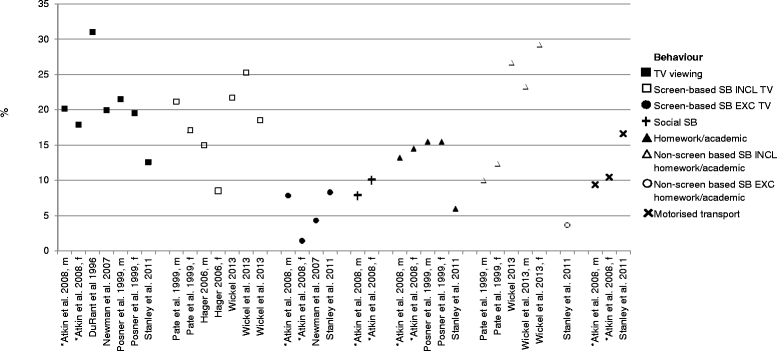
Results: Twenty-nine studies were included: 24 included children (≤12 years), four assessed adolescents (>12 years) and one included both; 20 assessed ST and nine assessed SB. On average, children spent 41% and 51% of the after-school period in ST when at after-school care and other locations respectively. Adolescents spent 57% of the after-school period in ST. SBs that children and adolescents perform include: TV viewing (20% of the period), non-screen based SB (including homework; 20%), screen-based SB (including TV viewing; 18%), homework/academics (13%), motorised transport (12%), social SB (9%), and screen-based SB (excluding TV viewing; 6%).
Conclusion: Children spent up to half of the after-school period in ST and this is higher among adolescents. A variety of screen- and non-screen based SBs are performed after school, providing key targets for interventions.
Trial registration: PROSPERO registration number CRD42015010437.
Keywords: Adolescents; After-school hours; Children; Prevalence; Sedentary behavior.
Figures



References
-
- Australian Government Department of Health. Australia’s Physical Activity & Sedentary Behaviour Guidelines for Children (5-12 years) 2014. Available from: http://www.health.gov.au/internet/main/publishing.nsf/content/health-pub.... Accessed 11 Nov 2015.
-
- Department of Health. Physical Activity Guidelines for Children and Young People (5-18 years). 2011.
Publication types
MeSH terms
LinkOut - more resources
Full Text Sources
Other Literature Sources
Medical