Racial differences in six major subtypes of melanoma: descriptive epidemiology
- PMID: 27576582
- PMCID: PMC5004333
- DOI: 10.1186/s12885-016-2747-6
Racial differences in six major subtypes of melanoma: descriptive epidemiology
Abstract
Background: Melanoma accounts for the majority of skin cancer deaths. It has over thirty different subtypes. Different races have been observed to differ in multiple aspects of melanoma.
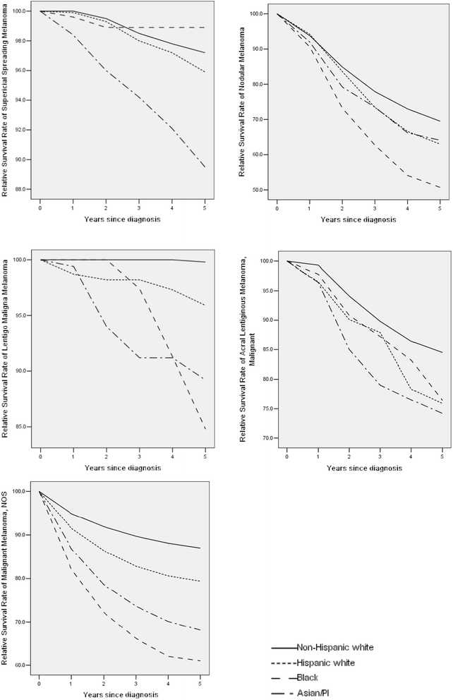
Methods: SEER (Surveillance, Epidemiology, and End Results) data on six major subtypes, namely melanoma in situ (MIS), superficial spreading melanoma (SSM), nodular melanoma (NM), lentigo maligna melanoma (LMM), acral lentiginous melanoma malignant (ALM), and malignant melanoma NOS (NOS), were analyzed. The racial groups studied included NHW (non-Hispanic white), HW (Hispanic white), Black, and Asian/PI (Pacific Islanders). Univariate and multivariate analysis was conducted to quantify racial differences in patients' characteristics, incidence, treatment, and survival.
Results: Significant racial differences are observed in patients' characteristics. For all subtypes except for ALM, NHWs have the highest incidence rates, followed by HWs, while Blacks have the lowest. For ALM, HWs have the highest rate, followed by NHWs. In stratified analysis, interaction between gender and race is observed. For the first five subtypes and localized and regional NOS, the dominating majority of patients had surgery, while for distant NOS, the distribution of treatment is more scattered. Significant racial differences are observed for distant ALM and NOS. For MIS, SSM, NM, LMM, and ALM, there is no significant racial difference in survival. For NOS, significant racial differences in survival are observed for the localized and regional stages, with NHWs having the best and Blacks having the worst five-year survival rates.
Conclusions: Racial differences exist for the six major melanoma subtypes in the U.S. More data collection and analysis are needed to fully describe and interpret the differences across racial groups and across subtypes.
Keywords: Melanoma; Racial difference; SEER; Subtype.
Figures
References
-
- Ries LA, Wingo PA, Miller DS, Howe HL, Weir HK, Rosenberg HM, Vemon SW, Cronin K, Edwards BK. The annual report to the nation on the status of cancer, 1973–1997, with a special section on colorectal cancer. Cancer. 2000;88(10):2398–2424. doi: 10.1002/(SICI)1097-0142(20000515)88:10<2398::AID-CNCR26>3.0.CO;2-I. - DOI - PubMed
Publication types
MeSH terms
Grants and funding
LinkOut - more resources
Full Text Sources
Other Literature Sources
Medical
Research Materials
Miscellaneous
