Exome genotyping, linkage disequilibrium and population structure in loblolly pine (Pinus taeda L.)
- PMID: 27624183
- PMCID: PMC5022155
- DOI: 10.1186/s12864-016-3081-8
Exome genotyping, linkage disequilibrium and population structure in loblolly pine (Pinus taeda L.)
Erratum in
-
Erratum to: Exome genotyping, linkage disequilibrium and population structure in loblolly pine (Pinus taeda L.).BMC Genomics. 2016 Nov 4;17(1):869. doi: 10.1186/s12864-016-3220-2. BMC Genomics. 2016. PMID: 27814686 Free PMC article. No abstract available.
Abstract
Background: Loblolly pine (Pinus taeda L.) is one of the most widely planted and commercially important forest tree species in the USA and worldwide, and is an object of intense genomic research. However, whole genome resequencing in loblolly pine is hampered by its large size and complexity and a lack of a good reference. As a valid and more feasible alternative, entire exome sequencing was hence employed to identify the gene-associated single nucleotide polymorphisms (SNPs) and to genotype the sampled trees.
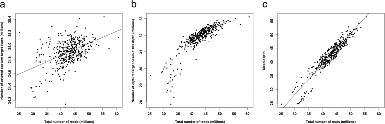
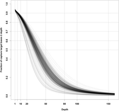
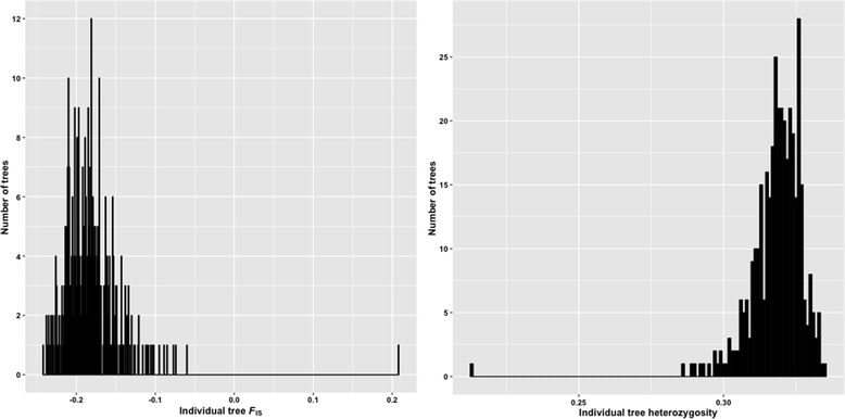
Results: The exons were captured in the ADEPT2 association mapping population of 375 clonally-propagated loblolly pine trees using NimbleGen oligonucleotide hybridization probes, and then exome-enriched genomic DNA fragments were sequenced using the Illumina HiSeq 2500 platform. Oligonucleotide probes were designed based on 199,723 exons (≈49 Mbp) partitioned from the loblolly pine reference genome (PineRefSeq v. 1.01). The probes covered 90.2 % of the target regions. Capture efficiency was high; on average, 67 % of the sequence reads generated for each tree could be mapped to the capture target regions, and more than 70 % of the captured target bases had at least 10X sequencing depth per tree. A total of 972,720 high quality SNPs were identified after filtering. Among them, 53 % were located in coding regions (CDS), 5 % in 5' or 3' untranslated regions (UTRs) and 42 % in non-target and non-coding regions, such as introns and adjacent intergenic regions collaterally captured. We found that linkage disequilibrium (LD) decayed very rapidly, with the correlation coefficient (r (2)) between pairs of SNPs linked within single scaffolds decaying to half maximum (r (2) = 0.22) within 55 bp, to r (2) = 0.1 within 192 bp, and to r (2) = 0.05 within 451 bp. Population structure analysis using unlinked SNPs demonstrated the presence of two main distinct clusters representing western and eastern parts of the loblolly pine range included in our sample of trees.
Conclusions: The obtained results demonstrated the efficiency of exome capture for genotyping species such as loblolly pine with a large and complex genome. The highly diverse genetic variation reported in this study will be a valuable resource for future genetic and genomic research in loblolly pine.
Keywords: Exome sequence capture; Genotyping by sequencing; Linkage disequilibrium; Loblolly pine; Population structure; SNPs; Target enrichment.
Figures






References
-
- Turner DP, Koerper GJ, Harmon ME, Lee JJ. A carbon budget for forests of the conterminous United States. Ecol Appl. 1995;5(2):421–36. doi: 10.2307/1942033. - DOI
-
- Baker JB, Langdon OG. Pinus taeda L. loblolly pine. In: Burns RM, Honkala BH, editors. Silvics of North America. Washington, DC: Department of Agriculture, Forest Service; 1990. pp. 497–512.
-
- Huggett R, Wear DN, Li R, Coulston J, Liu S. The southern forest futures project technical report. USDA forest service southern research station. 2011. Forecasts of forest conditions.
-
- Bolte A, Ammer C, Löf M, Madsen P, Nabuurs G-J, Schall P, et al. Adaptive forest management in central Europe: climate change impacts, strategies and integrative concept. Scand J For Res. 2009;24(6):473–82. doi: 10.1080/02827580903418224. - DOI
Publication types
MeSH terms
LinkOut - more resources
Full Text Sources
Other Literature Sources
Research Materials
Miscellaneous