Fall risk as a function of time after admission to sub-acute geriatric hospital units
- PMID: 27717326
- PMCID: PMC5054540
- DOI: 10.1186/s12877-016-0346-7
Fall risk as a function of time after admission to sub-acute geriatric hospital units
Abstract
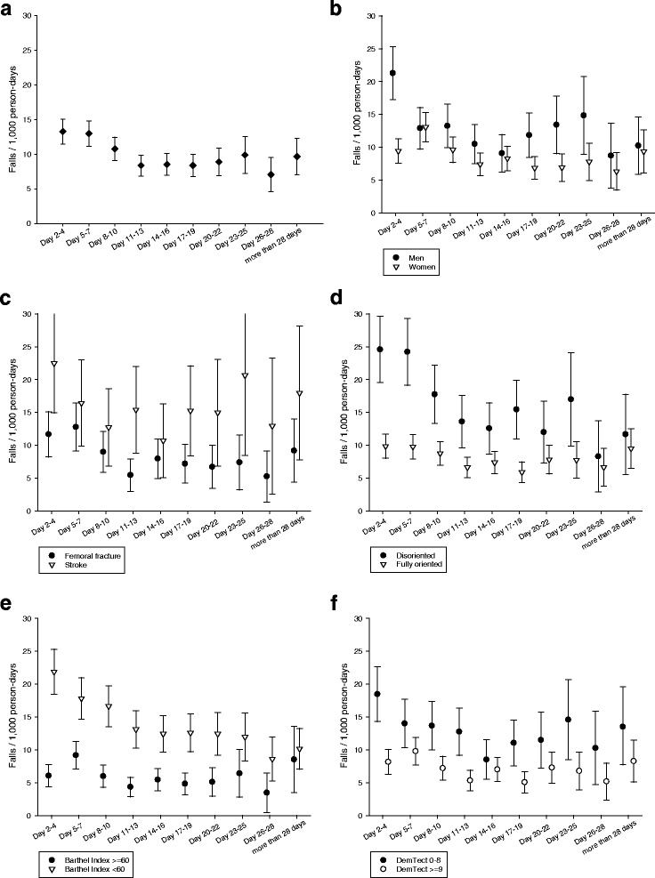
Background: There is evidence about time-dependent fracture rates in different settings and situations. Lacking are data about underlying time-dependent fall risk patterns. The objective of the study was to analyse fall rates as a function of time after admission to sub-acute hospital units and to evaluate the time-dependent impact of clinical factors at baseline on fall risk.
Methods: This retrospective cohort study used data of 5,255 patients admitted to sub-acute units in a geriatric rehabilitation clinic in Germany between 2010 and 2014. Falls, personal characteristics and functional status at admission were extracted from the hospital information system. The rehabilitation stay was divided in 3-day time-intervals. The fall rate was calculated for each time-interval in all patients combined and in subgroups of patients. To analyse the influence of covariates on fall risk over time multivariate negative binomial regression models were applied for each of 5 time-intervals.
Results: The overall fall rate was 10.2 falls/1,000 person-days with highest fall risks during the first week and decreasing risks within the following weeks. A particularly pronounced risk pattern with high fall risks during the first days and decreasing risks thereafter was observed in men, disoriented people, and people with a low functional status or impaired cognition. In disoriented patients, for example, the fall rate decreased from 24.6 falls/1,000 person-days in day 2-4 to about 13 falls/1,000 person-days 2 weeks later. The incidence rate ratio of baseline characteristics changed also over time.
Conclusions: Fall risk differs considerably over time during sub-acute hospitalisation. The strongest association between time and fall risk was observed in functionally limited patients with high risks during the first days after admission and declining risks thereafter. This should be considered in the planning and application of fall prevention measures.
Keywords: Accidental Falls; Confusion; Femoral Fractures; Rehabilitation Centers; Stroke.
Figures
References
MeSH terms
LinkOut - more resources
Full Text Sources
Other Literature Sources
Medical
