HCV prevalence can predict HIV epidemic potential among people who inject drugs: mathematical modeling analysis
- PMID: 27912737
- PMCID: PMC5135754
- DOI: 10.1186/s12889-016-3887-y
HCV prevalence can predict HIV epidemic potential among people who inject drugs: mathematical modeling analysis
Abstract
Background: Hepatitis C virus (HCV) and HIV are both transmitted through percutaneous exposures among people who inject drugs (PWID). Ecological analyses on global epidemiological data have identified a positive association between HCV and HIV prevalence among PWID. Our objective was to demonstrate how HCV prevalence can be used to predict HIV epidemic potential among PWID.
Methods: Two population-level models were constructed to simulate the evolution of HCV and HIV epidemics among PWID. The models described HCV and HIV parenteral transmission, and were solved both deterministically and stochastically.
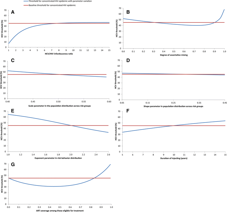
Results: The modeling results provided a good fit to the epidemiological data describing the ecological HCV and HIV association among PWID. HCV was estimated to be eight times more transmissible per shared injection than HIV. A threshold HCV prevalence of 29.0% (95% uncertainty interval (UI): 20.7-39.8) and 46.5% (95% UI: 37.6-56.6) were identified for a sustainable HIV epidemic (HIV prevalence >1%) and concentrated HIV epidemic (HIV prevalence >5%), respectively. The association between HCV and HIV was further described with six dynamical regimes depicting the overlapping epidemiology of the two infections, and was quantified using defined and estimated measures of association. Modeling predictions across a wide range of HCV prevalence indicated overall acceptable precision in predicting HIV prevalence at endemic equilibrium. Modeling predictions were found to be robust with respect to stochasticity and behavioral and biological parameter uncertainty. In an illustrative application of the methodology, the modeling predictions of endemic HIV prevalence in Iran agreed with the scale and time course of the HIV epidemic in this country.
Conclusions: Our results show that HCV prevalence can be used as a proxy biomarker of HIV epidemic potential among PWID, and that the scale and evolution of HIV epidemic expansion can be predicted with sufficient precision to inform HIV policy, programming, and resource allocation.
Keywords: HIV; Hepatitis C virus; Mathematical modeling; People who inject drugs; Prediction.
Figures









References
-
- Anderson SJ, Cherutich P, Kilonzo N, Cremin I, Fecht D, Kimanga D, Harper M, Masha RL, Ngongo PB, Maina W, et al. Maximising the effect of combination HIV prevention through prioritisation of the people and places in greatest need: a modelling study. Lancet. 2014;384(9939):249–256. doi: 10.1016/S0140-6736(14)61053-9. - DOI - PubMed
-
- Mumtaz GR, Weiss HA, Thomas SL, Riome S, Setayesh H, Riedner G, Semini I, Tawil O, Akala FA, Wilson D, et al. HIV among people who inject drugs in the Middle East and North Africa: systematic review and data synthesis. PLoS Med. 2014;11(6):e1001663. doi: 10.1371/journal.pmed.1001663. - DOI - PMC - PubMed
-
- Nelson K, Williams CM, editors. Infectious disease epidemiology: theory and practice, Second edition edn. Boston, MA: Jones and Barlett publishers; 2007.
MeSH terms
LinkOut - more resources
Full Text Sources
Other Literature Sources
Medical