Specified data for tonsil surgery in Germany
- PMID: 28025608
- PMCID: PMC5169081
- DOI: 10.3205/cto000135
Specified data for tonsil surgery in Germany
Abstract
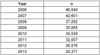
Background: Tonsillectomy rates vary considerably among different states, regions, and times. This study was conducted to identify the prevalence of "chronic" tonsillitis, peritonsillar abscess, hypertrophy of the tonsils with and without adenoids in absolute and relative numbers in an 80 million people nation. Moreover, the number and rates of different surgical procedures to resolve either "chronic" tonsillitis, peritonsillar abscess, or upper airway obstruction due to (adeno)tonsillar hypertrophy over several years was evaluated in this study (tonsillectomy, adenotonsillectomy, tonsillotomy, abscess tonsillectomy, transoral incision and drainage). Finally, the post-tonsillectomy hemorrhage rate was calculated and analyzed in relation to age and gender. Material and methods: Calculations were based on data as published by the Federal Institute of Statistics or on request, if needed. The latest data were provided for 2013. Results: The total number of the aforementioned diseases (stratified by ICD-10) decreased from 142,574 (in 2000) to 87,624 in 2013 (38.5%). Tonsillectomy, with or without adenoidectomy, was performed in a total of 833,896 patients between 2006 and 2013 in Germany. The yearly number decreased continually from 120,993 in 2006 to 84,332 procedures in 2013 (30.3%). The most significant decrease was registered in patients younger than 20 years of age for this time period: 70.92 per 10,000 in 2010 to 58.68 per 10,000 in 2013. If all age groups were included, the rate decreased from 13.34 per 10,000 to 10.90 per 10,000. In contrast, an increasing number of tonsillotomies was observed between 2007 (4,659 procedures) and 2013 (11,493). The cumulated number of procedures was 59,049. A constant number of 15,000 cases with peritonsillar abscess were diagnosed per year in Germany (19 patients per 100,000). The prevalence increased significantly at an age of 15 years and there was a preponderance of female patients below that age. Compared to the transoral incision and drainage, a 2.8-fold greater number of abscess tonsillectomies were performed annually. Post-tonsillectomy hemorrhage was experienced in 5.98% of all patients after 245,721 procedures in 2010 and 2013 (all indications, except tonsillotomy). Bleeding complications had occurred less frequently in female patients (5.06% vs. 7.02%). Finally, a considerable increase of post-tonsillectomy hemorrhage in patients older than 10 years of age was registered in male patients only. Conclusion: Chronic tonsillitis was less frequently diagnosed and surgically treated in terms of tonsillectomy (with or without adenoidectomy), particularly in female patients. In contrast, the number of tonsillotomies increased continually, particularly in male patients. Peritonsillar abscess was diagnosed and surgically treated in a constant number of patients in the yearly comparison. Most of these patients were scheduled for abscess tonsillectomy, and only a 2.8-fold smaller number for transoral incision and drainage. Independent from the indication for surgery, post-tonsillectomy hemorrhage was clearly associated with male gender and age (>10 years). The study reveals a dramatic change mandating further surveillance in insurance companies and authorities in the national health system of an 80 million people nation. (Tab. 1).
Keywords: abscess tonsillectomy; bleeding complications; incisional drainage; peritonsillar abscess; post-tonsillectomy hemorrhage; surgical prevalence; tonsillectomy; tonsillotomy.
Figures
References
-
- Van Den Akker EH, Hoes AW, Burton MJ, Schilder AG. Large international differences in (adeno)tonsillectomy rates. Clin Otolaryngol Allied Sci. 2004 Apr;29(2):161–164. doi: 10.1111/j.0307-7772.2004.00771.x. Available from: http://dx.doi.org/10.1111/j.0307-7772.2004.00771.x. - DOI - DOI - PubMed
-
- Materia E, Di Domenicantonio R, Baglio G, Marchisio P, Perletti L, Lispi L, Mele A, Guasticchi G. Epidemiologia degli interventi di tonsillectomia e/o adenoidectomia in Italia. [Epidemiology of tonsillectomy and/or adenoidectomy in Italy]. Pediatr Med Chir. 2004 May-Jun;26(3):179–186. (Ita). - PubMed
-
- Brownell M. Tonsillectomy rates for Manitoba children: temporal and spatial variations. Healthc Manage Forum. 2002 Winter;15(4 Suppl):21–26. doi: 10.1016/S0840-4704(10)60178-0. Available from: http://dx.doi.org/10.1016/S0840-4704(10)60178-0. - DOI - DOI - PubMed
-
- Capper R, Canter RJ. Is there agreement among general practitioners, paediatricians and otolaryngologists about the management of children with recurrent tonsillitis? Clin Otolaryngol Allied Sci. 2001 Oct;26(5):371–378. doi: 10.1046/j.1365-2273.2001.00485.x. Available from: http://dx.doi.org/10.1046/j.1365-2273.2001.00485.x. - DOI - DOI - PubMed
-
- Blair RL, McKerrow WS, Carter NW, Fenton A. The Scottish tonsillectomy audit. Audit Sub-Committee of the Scottish Otolaryngological Society. J Laryngol Otol. 1996 Aug;110 Suppl 20:1–25. - PubMed
LinkOut - more resources
Full Text Sources
