Multidrug resistant tuberculosis in Ethiopian settings and its association with previous history of anti-tuberculosis treatment: a systematic review and meta-analysis
- PMID: 28320336
- PMCID: PMC5360058
- DOI: 10.1186/s12879-017-2323-y
Multidrug resistant tuberculosis in Ethiopian settings and its association with previous history of anti-tuberculosis treatment: a systematic review and meta-analysis
Abstract
Background: Efforts to control the global burden of tuberculosis (TB) have been jeopardized by the rapid evolution of multi-drug resistant Mycobacterium tuberculosis (MTB), which is resistant to at least isoniazid and rifampicin. Previous studies have documented variable prevalences of multidrug-resistant tuberculosis (MDR-TB) and its risk factors in Ethiopia. Therefore, this meta-analysis is aimed, firstly, to determine the pooled prevalence of MDR-TB among newly diagnosed and previously treated TB cases, and secondly, to measure the association between MDR-TB and a history of previous anti-TB drugs treatment.
Methods: PubMed, Embase and Google Scholar databases were searched. Studies that reported a prevalence of MDR-TB among new and previously treated TB patients were selected. Studies or surveys conducted at national or sub-national level, with reported MDR-TB prevalence or sufficient data to calculate prevalence were considered for the analysis. Two authors searched and reviewed the studies for eligibility and extracted the data in pre-defined forms. Forest plots of all prevalence estimates were performed and summary estimates were also calculated using random effects models. Associations between previous TB treatment and MDR-MTB infection were examined through subgroup analyses stratified by new and previously treated patients.
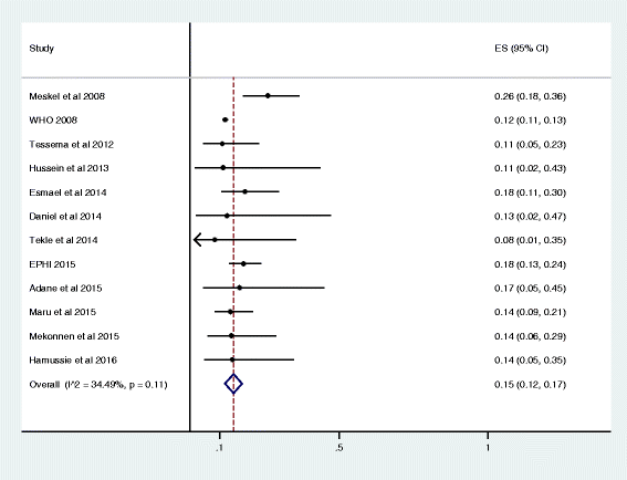
Results: We identified 16 suitable studies and found an overall prevalence of MDR-TB among newly diagnosed and previously treated TB patients to be 2% (95% CI 1% - 2%) and 15% (95% CI 12% - 17%), respectively. The observed difference was statistically significant (P < 0.001) and there was an odds ratio of 8.1 (95% CI 7.5-8.7) for previously treated TB patients to develop a MDR-MTB infection compared to newly diagnosed cases. For the past 10 years (2006 to 2014) the overall MDR-TB prevalence showed a stable time trend.
Conclusions: The burden of MDR-TB remains high in Ethiopian settings, especially in previously treated TB cases. Previous TB treatment was the most powerful predictor for MDR-MTB infection. Strict compliance with anti-TB regimens and improving case detection rate are the necessary steps to tackle the problem in Ethiopia.
Keywords: Ethiopia; Meta-analysis; Multidrug resistant tuberculosis; Systematic review.
Figures







References
-
- World Health Organization. Global tuberculosis report. Geneva, Swizerland: WHO press;2015.
-
- World Health Organization. Global tuberculosis report. Geneva, Swizerland: WHO press;2013.
Publication types
MeSH terms
Substances
LinkOut - more resources
Full Text Sources
Other Literature Sources
Miscellaneous